【導讀】低壓差穩壓器(LDO)能夠在很寬的負載電流和輸入電壓范圍內保持規定的輸出電壓,而且輸入和輸出電壓之差可以很小。這個電壓差被稱為壓降或裕量要求,在負載電流為2A時可以低至80m。可調輸出低壓差穩壓器1于1977年首次推出。
現在,便攜設備需要使用的低壓差線性穩壓器經常多達20個。最新便攜設備中的許多LDO被集成進了多功能 電源管理芯片2 (PMIC)—這是高度集成的系統,擁有20個或以上的電源域,分別用于音頻、電池充電、設備管理、照明、通信和其它功能。
然而,隨著便攜系統的快速發展,集成式PMIC已經無法滿足外設電源要求。在系統開發的后期階段必須增加專用 LDO來給各種選件供電,如相機模塊、藍牙、WiFi和其它連接模塊。LDO還能用來輔助降低噪聲,解決由電磁干擾(EMI) 和印刷電路板(PCB)布線造成的穩壓問題,并通過關閉不需要的功能來提高系統效率。
本文將討論基本的LDO拓撲,解釋關鍵的性能指標,并展示低壓差穩壓器在系統中的應用。同時使用ADI公司 LDO產品系列3.的設計特 征進行示例說明。

圖1:采用低壓 差(Vout和在額定負載電流時 Vin的最低給定值之間的差值)技術穩定輸出電壓的LDO框圖
基本的LDO架構4. LDO由參考電壓、誤差放大器、反饋分壓器和傳輸晶體管組成,如圖1所示。輸出電流通過傳輸器件提供。傳輸器件的 柵極電壓由誤差放大器控制—誤差放大器將參考電壓和反饋電壓進行比較,然后放大兩者的差值以便減小誤差電壓。如果反饋電壓低于參考電壓,傳輸晶體管的柵極電壓將被拉低,允許更多的電流 通過,進而提高輸出電壓。如果反饋電壓高于參考電壓,傳輸晶體管的柵極電壓將被拉高,進而限制電流流動、降低輸出電壓.
這種閉環系統的動態特性基于兩個主要的極點,一個是由誤差放大器/ 傳輸晶體管組成的內部極點,另一個是由放大器的輸出阻抗和輸出電容的等效串聯電阻(ESR)組成的外部極點。輸出電容及其ESR 將影響環路穩定性和對負載電流瞬態變化的響應性能。為了確保穩定性,推薦1?或以下的ESR 值。另外,LDO要求使用輸入和輸出電容來濾除噪聲和控制負載瞬態變化。電容值越大,LDO 的瞬態響應性能越好,但會延長啟動時間。ADI公司的LDO在使用規定電容時可以在規定工作條件下達到很好的穩定性能。
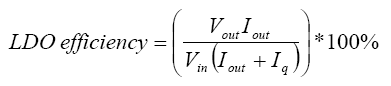
LDO 效率: 提高效率一直是設計工程師的永恒追求,而提高效率的途徑是降低靜態電流(IQ)和前向壓降。.

由于IQ在分母上,因此很明顯IQ越高效率就越低。如今的LDO具有相當低的IQ。當IQ遠小于ILOAD時,在效率計算公式中可以忽略IQ。這樣,LDO的效率公式可以簡化為(Vo/Vin)*100%。由于LDO無法存儲大量的 未使用能量,沒有提供給負載的功率將在LDO中以熱量形式消耗掉。

LDO 可以提供穩定的電源電壓,這種電壓與負載和線路變化、環境 溫度變化和時間流逝無關,并且當電源電壓和負載電壓之間的壓差 很小時具有最高的效率。例如,隨著鋰離子電池從 4.2V(滿充狀態)下降到3.0V(放電后狀態),與該電池連接的2.8V L D O將在負載處保持恒定的2.8V(壓差小于200mV),但效率將從電池滿充時的 67%增加到電池放電后的93%。
為了提高效率,LDO可以連接到由高效率開關穩壓器產生的中間電壓軌,例如使用 3.3V開關穩壓器。LDO效率固定為85%,假設開關穩壓器效率為95%,那么系統總效率將是81%。
電路特性增強LDO性能: 使能輸入端允許通過外部電路控制LDO的啟動和關閉,并允許在多電壓軌系統中按正確的順序加電。軟啟動 可以在上電期間限制浪涌電流和控制輸出電壓上升時間。睡眠狀態能使漏電流最小,這個特性在電池供電系統中特別有用,并且允許快速啟動。當 LDO的溫度超過規定值時,熱關斷電路將關閉LDO。過流保護電路可以限制LDO的輸出電流和功耗。欠壓閉鎖電路可以在供電電壓低于規定的最小 值時禁止輸出。圖2 是用于便攜設計的典型電源系統簡圖.

圖 2:便攜系統中的典型電源域
理解線性穩壓器要求
LDO 用于數字負載: 像 ADP170 和 ADP1706這類數字線性穩壓器設計 用于支持系統的主要數字要求,通常是微處理器內核和系統輸入/輸出(I/O)電路。用于DSP和微控制器的LDO 必須具有較高的效率,并能處理快速變化的大電流。更新的應用要求給數字LDO造成了巨大的壓力,因為處理器內核為了節能而經常改變時鐘頻率。為了響應 軟件導致的負載變化而發生的時鐘頻率變化對LDO的負載調整功能提出了嚴格的要求。
數字負載的重要特征有線路調整率和負載調整率,以及瞬態下沖和過沖。在給低電壓的微處理器內核供電時,精確的輸出控制總是非 常重要,沒有足夠的調整率將致使內核閉鎖。數據手冊中并不總是提供上述參數,瞬態響應圖形也許表現出對瞬態信號不錯的上升和 下降響應速度。線路和負載調整率有兩種方式表述:一種是輸出電壓隨負載變化的偏離百分比,實際的 V/I值,或 者在規定負載電流條件下同時用兩者表示。
為了節省功耗,數字LDO需要具有較低的Iq以 延長電池壽命。便 攜系統有很長時間軟件處于空閑狀態,這段時間系統處于低功耗狀態。在不 活動時,系統將進入睡眠狀態—要求LDO關閉,消耗電流不到1 μA。當LDO處于睡眠模式時,所有電路(包括帶隙參考)都將被關閉。當系 統回到活動模式時,要求快速啟動—在此期間數字供電電壓必須不產生過高的過沖。過高的過沖將導致系統閉鎖,有時需要拔出電 池或按下主復位按鈕才能解決問題,并重啟系統。
LDO 用于模擬和射頻負載: 像 ADP121 和 ADP130具有的低噪聲和高電源抑制(P SR)性能對模擬環境中使用的LDO來說 非常 重要,因為模擬器件比數字器件對噪聲更敏感。
模擬LDO需求的主要來自無線接口要求—不損傷接收器或發送器,并在音頻系統中不產生爆破音或嗡嗡聲。無線連接非常容易受噪聲的影響,如果噪聲干擾到信號, 接收器的效果將大打折扣。在考慮模擬線性穩壓器時,器件要能抑 制來自上游電源和下游負載的噪聲,而且自身不增加噪聲,這一點很 重要。
關鍵的LDO指標和定義
備注: :制造商數據手冊首頁一般是一些摘要信息,通常突出了一些吸引人的器件特性。關鍵參數經常強調典型的性能特征,但只有查 閱了文檔中的完整指標和其它數據后才能得到更完整的理解。另外,由于制造商提供指標的方式幾乎沒有標準可言,因此電源設計師需 要理解用來獲得電氣指標表格中列出的關鍵參數的定義和方法。系統設計師應該密切關注關鍵參數,如環境和結點溫度范圍、圖形信息中的 X-Y刻度值、負載、瞬態信號的上升和下降時間以及帶寬。下面討論與ADI公司LDO的表征和應用有關的一些重要參數。
輸入電壓范圍: : LDO的輸入電壓范圍決定了最低的可用輸入電源電壓。指標可能提供寬的輸入電壓范圍,但最低輸入電壓必須超過壓降加上想要的輸出電壓值。例如, 150m V的壓降對于穩定的2.8V輸出來說意味著輸入電壓必須大于2.95V。如果輸入電壓低于2.95V,輸出電壓將低于2.8V。
接地(靜態)電流: 靜態電流Iq 就是輸入電流IIN和負載電流IOUT之間的差值,在規定的負載電流條件下測量。對于固定電壓穩壓器, IQ等于接地電流IG。對于可調穩壓器,如 ADP1715, 靜態電流等于接地電流減去來自外部分壓電阻網絡中的電流。
關斷電流: 這是指設備禁用時 LDO消耗的輸入電流,對便攜LDO來說通常低于1.0 μ A。這個指標對于便攜設備關機時長待機期間的電池壽命來說很重要。
輸出電壓精度: ADI公司的LDO具有很高的輸出電壓精度,在工廠制造時就被精確調整到±1%之內(25°C)。輸出電壓精度在工作溫度、輸 入電壓和負載電流范圍條件下加以規定。誤差規定為±x%最差情況.
線路調整率: 線路調整率是指輸出電壓隨輸入電壓變化而發生的變化率。為了避免由于芯片溫度變化引起的誤差,線路調整率的測量 通常在低功耗狀態或使用脈沖技術進行。
動態負載調整率: 只要負載電流緩慢變化,大多數LDO都能輕松地 保持輸出電壓接近恒定不變。然而,當負載電流快速改變時,輸出電壓也將發生改變。當負載電流發生變化時輸出電壓會改變多少就決定了負載瞬態性能。
壓差:壓差指保持電壓穩定所需的輸入電壓和輸出電壓之間的最小差值。也就是說,LDO能夠在輸入電壓降低時保持輸出負載電壓不變, 直到輸入電壓接近輸出電壓加上壓差,在這個點輸出電壓將"失去"穩定。壓差應盡可能小,以使功耗最小,效率最高。當輸出電壓降低到低于標稱值 100mV的電壓時,通常被認為達到了這個壓差。負載電流和結點溫度會影響這個壓差。最大壓差值應在整個工作溫度范圍 和負載電流條件下加以規定。
啟動時間:啟動時間被定義為使能信號的上升沿到VOUT接近其標稱值的90%時的時間。這個測試通常是接上VIN、使能引腳從斷開到接 通的觸發條件下進行測量。備注:在使能引腳連接VIN的某些情況下,啟動時間可能會大幅增加,因為帶隙參考需要一定的穩定時間。在 穩壓器需要頻繁關閉和啟動以節省功耗的便攜系統中,穩壓器的啟動時間是一個重要的考慮因素。
限流閾值: 限流閾值被定義為輸出電壓下降到給定典型值的 90%時的負載電流。例如,3V輸出電壓的限流閾值被定義為造成輸出電壓下降到3.0V的90%或2.7V時的負載電流。
工作溫度范圍: 工作溫度范圍可以由環境溫度和結點溫度加以規定。 由于LDO會發熱,因此IC的工作溫度總是超過環境溫度,比環境溫度高出多少取決于工作狀態和PCB熱設計。數據手冊上規定有最大結 點溫度(TJ),因為在最大結點溫度之上工作過長的時間會影響器件的可靠性—統計學上稱為平均故障時間(MTTF)。
熱關斷(TSD):大多數LDO具有自動溫度調節裝置,用于防止IC發生熱失控。當結點溫度超過規定的熱關斷閾值時,這個裝置將關斷 LDO。為了在重啟之前讓LDO冷卻下來,要求一定的滯后時間。TSD很重要,因為它不單單保護LDO;過多的熱量影響的不止是穩壓器。從 LDO傳導到PCB(或從電路板上更熱的元件傳導到LDO)的熱量隨著時間的推移可能破壞PCB 材料和焊接可靠性,也會破壞附近元件,進而縮短便攜設備的壽命。另外,熱關斷將影響系統的可靠性。因此, 用于控制電路板溫度的熱設計(散熱器、冷卻裝置等)是重要的系統考慮因素。
使能輸入: LDO 使能信號以正和負邏輯的形式提供,用于關閉和啟動LDO。高電平有效邏輯在使能端電壓超過邏輯高電平門限時使能 器件,低電平有效邏輯在使能端電壓低于邏輯低門限電平時使能器件。使能輸入允許外部控制LDO 的關閉和啟動,這是多電壓軌系統中調整電源上電順序的一個重要特性。一些LDO 具要相當短的啟動時間,因為它們的帶隙參考在LDO禁用時是打開的,允許LDO更快地啟動。
欠壓閉鎖:欠壓閉鎖(U V LO)可以確保只有在系統輸入電壓高于規定閾值時才向負載輸出電壓。 UVLO很重要,因為它只在輸入電壓達到或超過器件穩定工作要求的電壓時才讓LDO器件上電。
輸出噪聲: :LDO的內部帶隙電壓參考是噪聲源,通常用給定帶寬范 圍內的毫伏有效值表示。例如,A D P121在VOUT為1.2V時,在10k H z至100kHz的帶寬范圍內有40μV rms 的輸出噪聲。在比較 數據手冊指標時,給定的帶寬和工作條件是重要的考慮因素。
電源抑制比: 電源抑制比(P SR)用分貝表示,代表了LDO 在寬的頻范圍(1k H z至100k H z)內對來自輸入電源的紋波的抑制能力。在LDO中,PSR 可以用兩個頻段表征。頻段1從直流到控制環路的單位增益頻率,這時的PSR取決于穩壓器的開環增益。頻段2 在單位增益頻率之上,這 時的PSR不受反饋環路的影響,PSR取決于輸出電壓以及從輸 入到輸出引腳的任何泄漏路徑。選擇一個適合的高值輸出電容通常會改善后個頻段的PSR。在頻段1,ADI公司專有的電路設計可以減少 由于輸入電壓和負載變化引起的PSR變化。為了獲得最佳的電源抑制性能,PCB版圖設計時必須考慮減小從輸入到輸出的泄漏,而且要 有魯棒性的接地性能。
最小輸入和輸出電容: 最小輸入和輸出電容應大于在各種工作條件 (尤其是工作電壓和溫度)下的規定值。在器件選型時必須考慮應用 中的各種工作條件,確保滿足最小的電容規格。推薦使用X7R和X5R型電容。Y5V和Z5U電容不推薦在任何LDO電路中使用。
反向電流保持特性:采用PMOS傳輸管的典型LDO在VIN和VOUT之間有一個本 征體二極管。當VIN大于VOUT 時,這個二極管將 處于反偏狀態。如果VOUT大于VIN,這個本征二極管將變成前向偏置,產生從VOUT到VIN的電流,進而造成破壞性的功耗。一些LDO ,如e ADP1740/ADP1741,有額外的電路防止從 VOUT到VIN的反向電流流動。反向電流保護電路檢測到VOUT超過VIN時,將反轉本征二極管連接的方向,使二極管仍處于反偏狀態。
S軟啟動:可編程軟啟動有助于減小啟動時的浪涌電流和提供上電 順序。對于啟動時要求浪涌電流受控的應用,有些 LDO(如A D P 174 0 /A D P 1741)提供了可編程的軟啟動(S S)功能。為了實現軟啟動,在SS和地引腳之間需要連接一個小的陶瓷電容。
結束語
LDO執行的是一個重要功能。雖然概念上很簡單,但在應用時需要考慮許多方面的因素。本文介紹了基本的LDO拓撲,解釋了一些關鍵指標和低壓差穩壓器在系統中的應用。在數據手冊中還包含了許多有用的信息。欲了解進一步信息(選型指南、數據手冊、應用筆記)—以及獲取人工幫助的方式—請訪問 電源管理6網站. 這個網站同時 還提供業界最快、最精確的 DC/DC電源管理設計工具7ADIsimPower™。
推薦閱讀:




