中心議題:
- 連接器焊球檢測原理
- 連接器焊球檢測算法
解決方案:
- 基于機器視覺的BGA連接器焊球檢測
摘要:文章提出了一種基于機器視覺的BGA器件焊球質量檢測方法。該方法在同一視點下,用相同光源分別以兩種不同入射方向角照射被測BGA連接器焊球,獲得兩幅圖像,然后得到BGA 連接器焊球在x方向的曲面信息,以此計算出被測焊球的主要質量參數。最后給出了BGA連接器焊球檢測的主要算法。
1 引 言
BGA(Ball Crid Array)是近幾年發展起來的一種電子器件封裝技術,非常適用于大規模集成電路的封裝,其發展十分迅速。BGA連接器和BGA封裝器件現已被廣泛應用,幾乎所有的計算機、移動電話等電子產品中都能找到BGA封裝器件。圖1 是BGA連接器的BGA焊接面。

BGA 連接器以焊球作為與印刷電路板連接的引腳。安裝時,加熱BGA連接器,使焊球直接熔接在印刷電路板上,就可完成BGA連接器的安裝過程。與其他類型的連接器相比,BGA連接器具有安裝方便,工作可靠,封裝密度高,易于裝配,體積小,自感和互感小等優點。它特別適用于計算機CPU等超大規模集成電路芯片封裝或用作IC器件的連接插座。圖2是BGA連接器安裝后的側視圖。

由圖2可知,BGA連接器的制造精度要求很高,尤其是對BGA焊球的機械尺寸精度要求非常高。BGA連接器上的焊球高度差應小于0.2毫米,否則就會造成 BGA 連接器上的某個或某些焊球無法與電路板正常熔接,從而使得整個電路產品報廢。圖3 是BGA焊球高度不一致造成的電路連接故障的示意圖。

為了避免BGA連接器的連接故障,通常要在生產流水線上逐一對BGA連接器焊球質量進行檢測(主要檢測參數為焊球的直徑、高度)。若采用傳統的接觸式測量方法,不但測量周期較長,而且無法滿足在生產線現場對連接器上每一個焊球在線檢測的要求。
將機器視覺應于BGA連接器焊球的質量檢測,則可實現無損非接觸在線檢測。由于機器視覺采用圖像采集和圖像處理的方法,可在一次采樣過程中獲取被測BGA連接器的整個圖像,因此它的整個檢測周期非常短,并且能將BGA連接器上的所有焊球一次檢測完成。顯然,它是一種較為理想的BGA連接器質量檢測方法。
2 檢測原理
采用機器視覺方法檢測BGA連接器焊球的直徑、高度等參數,先由圖像采集裝置獲取BGA連接器焊球端面的圖像,該圖像如圖( 所示。然后設法從該圖像提取BGA連接器焊球的曲面信息,最后由曲面信息求得被測焊球的直徑、高度等參數。

[page]
焊球圖像生成過程如圖4所示。光源照射到焊球表面點S,其反射光經透鏡中心投射在圖像面的點S''''''''''''''''上。當光源為平行光,反射光呈均勻散亂分布,且焊球的投影為近似平面投影時,圖像面點S''''''''''''''''的灰度值I與照明方向角(α,β)和焊球表面點S的狀態有關。其函數關系可表示為:

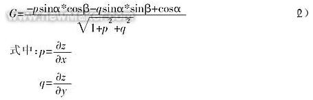
I(x,y,α,β)=A*ρ(x,y)*G(p,q,α,β)I(x,y,α,β) 是與點s對應的圖像面上點S''''''''''''''''的灰度值,可從圖像采集裝置直接得到;同時,它也是以光投影方向角(α,β)為參數的關于物體表面點S(x,y)的函數。A 為常數。ρ(x,y) 為點S(x,y)處的表面反射率,它與點S(x,y)的表面性質有關,如表面有污點或有花紋等都會影響反射率,且不同的位置有不同的ρ(x,y)。G為入射光在物體表面的密度,當光投影方向角(α,β)確定后,它與點S(x,y)的表面斜率有關。
由上述分析可知:在圖像面生成的圖像帶有被側物體的三維信息p、ρ。檢測到點S的灰度值后,只要根據點S的坐標x、y值和入射光方向角 (α,β),設法從式(1)或式(2)提取p、ρ,就可得到焊球表面的斜率,然后由點S的斜率計算出被測焊球的直徑、高度。但是,式(1)中的表面反射率 ρ(x,y)較為復雜,不同的物體有不同的表面反射率,同一物體的不同位置的表面反射率也不盡相同,而且在連續工業生產環境下,不可能得到準確的被測物體表面反射率ρ(x,y)。因此,直接應用式(1)無法由灰度值I計算出點S的斜率。
表面反射率ρ(x,y)雖然復雜,但是它僅與點S的表面性質有關,而與照明條件無關。這里利用表面反射率ρ(x,y)的這一特性,在同一視點下,用同一光源分別以兩種不同入射方向角,照射BGA連接器的焊球,用圖像采集裝置在圖像面的點S''''''''''''''''處獲得相應的兩個灰度值I1和I2。由于I1和I2是圖像面上點S''''''''''''''''在不同照明條件下的灰度值,對應于BGA連接器焊球上的同一點S,具有相同的平面坐標x、y和表面反射率ρ(x,y)。求解下列聯立方程:

在同一視點下,用相同光源分別以兩種不同入射方向角照射被測BGA連接器焊球;在圖像面,用圖像采集裝置獲取相應的兩幅BGA連接器圖像;然后,逐一將兩幅圖像對應點的兩灰度值和入射光源方向角代入式(5),求出BGA連接器各點的p值,并將求得的p值存于一兩維數組中,并使該數組的下標與圖像的x、y坐標對應, 從而將BGA連接器的灰度圖像轉換成BGA連接器的表面斜率圖像(沿x方向);最后由BGA連接器的表面斜率圖像提取BGA連接器的表面斜率信息,計算出 BGA焊球的直徑、高度。把上述測量過程稱之為“兩次投影”。
由于目標是檢測BGA焊球的高度、直徑,在獲得BGA連接器的表面斜率圖像(沿x方向)后,沿x方向找出所有斜率p變化的極大值和極小值,然后根據相鄰極值在x方向和y方向的距離就可方便地計算出BGA焊球的直徑、高度。相鄰極值在x方向和y方向的距離可由圖像采集裝置的像素間距和保存p值的兩維數組下標求得。圖5是當y坐標為某一值時,得到的BGA焊球曲面信息。

[page]
3 主要檢測算法
通過圖像采集裝置,在同一視點的圖像面獲取兩M×N像素的圖像,分別保存于image1[m,n]和image2[m,n]兩數組中。下列算法計算圖像面上每一像素對應的被測BGA連接器表面X軸方向的斜率。計算結果存于一M×N數組中。
檢測算法:

4 運行結果
該BGA連接器焊球檢測裝置采用768X590像素的面陣式CCD攝像頭,NI-1907圖像捕捉卡,LED平面光源和P4-1.7G計算機。該裝置用于檢測200個焊球的BGA連接器(40X40mm),檢測參數為焊球高度和直徑。它的檢測周期小于800ms,檢測精度可達到2%,具有檢測速度快,工作可靠等特點。
5 結束語
該文提出了將機器視覺用于檢測BGA連接器焊球質量的原理和主要算法。用“兩次投影”檢測BGA連接器焊球,僅一次檢測過程,采集兩幅圖像,就可獲得整個連接器上所有焊球(通常有數十個)的三維信息,從而檢測出焊球的高度、直徑等重要質量指標。實際使用中充分體現出機器視覺的優越性。







