【導讀】能量收集(energy harvesting)是指從環境或系統本身,收集為電子設備供電所需的能量;更具體地說,熱能收集是將收集自發熱源的熱能,轉化為電能。
能量收集是指從環境或系統本身,收集為電子設備供電所需的能量;更具體地說,熱能收集是將收集自發熱源的熱能,轉化為電能。
熱能收集的好處包括:
可望免除配備電池,這對于便攜設備和低功耗應用來說尤其重要。
可望打造自給自足(從能源角度來看) 的物聯網設備;這對開發不必利用充電電池即可連續運行的獨立、移動設備至關重要。通過降低維護和電池更換的需求,熱能收集可支持應用于偏遠地區或大城市基礎建設中不易觸及的智能檢測設備。
可望為醫療和消費性應用帶來打造全新可穿戴解決方案的機會。
發展綠色能源技術,以減少石化燃料的使用與降低溫室氣體排放量。
應用
能量收集技術可用于為各種傳感器和電子設備提供自主可再生能源,使其能夠利用溫差產生能量。利用效率越來越高的元器件,將為充分利用熱能收集的新解決方案鋪路。
在可穿戴系統中,用于熱能收集技術的一個有趣方法是利用熱能來產生一些小電流,這實際上利用的是人體溫度和環境溫度之間的溫度差。無論是在自然環境還是人工環境中,到處都存在溫度差。利用這些溫差或梯度都可以產生熱電能。
熱能
根據能量守恒的物理定律,能量可能會從某種形式轉變為另一種形式;因此從各種環境能源中取得能量是有可能的。
在人們生活周圍的環境中,充滿了溫度和熱量的變化。發動機廢氣產生的熱、土壤產生的地熱、鋼鐵廠冷卻水產生的熱,以及其他工業運轉都是典型案例。利用熱電發電機(TEG)和其他一些電子設備,就可以把熱能轉化為電能,還可以將之保留于儲存設備中。TEG的基本原理是將熱流(由溫差引起)轉換為電能,非常適合體積通常非常小、沒有移動部件(固態)的低功耗嵌入式設備。
塞貝克效應
塞貝克效應(Seebeck effect,又稱第一熱電效應)是在某種材料兩側之間存在溫度梯度時,電壓因此產生的過程。TEG的基本組件是PN結,由熱電材料P型半導體和N型半導體的單結構組成,每個結構電氣串聯連接,并摻雜硼(P型半導體)和磷(N型半導體)等雜質。

圖1:TEG本質上就是一個具有冷(c)熱(h)兩個表面的珀爾帖電池(Peltier cell)。
(來源:Power Electronics News)
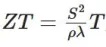
TEG模塊的基本功能區塊是幾個串聯的PN對,PN對在此配置中平行排列,以產生與溫度梯度成比例的電壓。要正常運作,設備的熱(Th)側和冷(Tc)側必須處于不同的溫度。熱電材料的性能──由熱電優值(thermoelectric figure of merit) ZT測得──通過以下公式計算:
![]()
公式中,S是塞貝克系數,ρ是電阻率,λ是熱導率,而T是測量熱電性能的溫度。ZT是在給定溫度梯度下可產生的電能的量:材料的ZT值越高,熱電性能越好。通過增加功率因數PF (PF=S2÷ρ),或降低熱導率λ(λ=λe+λph)──λe和λph分別表示電子和聲子(phononic)的貢獻──都可以提高既定材料的熱電性能。
塞貝克系數、電阻率和熱導率是決定熱過程效率的三個因素。這三個既不同卻又相互依存的物理特性,共同構建卓越性能。因此,很難或不可能在不損害另一個的情況下,改進其中任何一個。唯一可以自由調節而不會對其他量產生影響的量是λph(T);因此,縮小尺寸是提高整體效率最有效的策略。
材料
以電池為基礎的解決方案每天都在變得更有效率也更小,對于一些低功耗應用,如物聯網傳感器,再進一步提高電池壽命已不太可能。因此,這些設備將從能量收集技術中受益匪淺。對能量收集的興趣引發了互補技術的發展,包括皮瓦等級超低功率微電子組件和超級冷凝器(supercondenser)。
一種優異的熱電材料必須具有較強的塞貝克效應,導電性能應該盡可能地好,而導熱特性則應該盡可能地差。但很難找到一種符合所有這些要求的材料,因為導電性和導熱性通常是齊頭并進的。
研究人員最近成功開發了一種ZT值在5~6之間的新型材料,由鐵、釩、鎢和鋁的薄層組成,可應用于硅晶體,可望為傳感器電源行業帶來革命性的變化,使傳感器能夠從環境中自行發電。根據可用的溫度梯度,TEG每平方厘米可產生20μW~10mW的功率。
設計技巧
目前市場上已有幾款適用熱能收集的集成電路,包括TI的BQ25570,能夠從TEG中提取微瓦到毫瓦級的功率,還有比利時e-peas的AEM10941,以及ADI和Renesas的其他IC。BQ25570整合了電源管理系統,通過使用雙電路來提高電壓,同時防止電池過充或爆炸。所收集的能量則可以儲存在可充電鋰離子電池、薄膜電池、超級電容器或傳統電容器中。
超級電容器是能量收集被有效應用的技術前提,它們是具有極高容量的電容器,同時具有電解電容器和可充電電池的功能特性。然而,它們每單位體積或質量的能量儲存量,比電解電容器多10倍、甚至是100倍,電荷累積速度遠高于充電電池的典型速度,充放電循環次數也比可充電電池更多。
當TEG板之間存在足夠的溫差,從而在其端子上產生電壓時,熱點轉換程序就會開始。BQ25570包括一個升壓充電器和一個納米功率降壓轉換器(參考圖2),可以提取功率,功率大小根據溫差而變化,從μW到mW級不等。由于內置升壓轉換器,輸出電壓隨后被升壓到3.3V,效率可達93%。

圖2:BQ25570超低功率收集器PMIC電路圖。
(來源:TI)
有兩種方法可以儲存能量收集來的電力:使用電容器或電池來儲存電荷。當使用傳統電容器或超級電容器時,有一些指南可幫助設計工程師做選擇:
選擇低ESR (<200mΩ)的電容。
1.2V時的泄漏電流必須小于1μA。
大型電容器充電較慢,但可以儲存大量電荷;另一方面,小型電容充電非常快,增加了啟動時間。
取決于應用,電容值可通過以下公式求得:
C = 15×VOUT×IOUT×TON
其中,VOUT是能量收集傳感器的輸出電壓,IOUT是來自能量收集傳感器的平均輸出電流,TON是IC接通時間。如果傳感器無法提供足夠電力,儲存電容器能讓系統維持一定時間。
熱電能量收集器的功率調節也非常重要,即使以最大功率運作,熱電產生器的輸出電壓也很小,因為它的電壓很低。當能量收集器為電池充電時,電源調節電路會保護電池避免過充。同樣,當溫度變化時,功率調節用于穩定輸出電壓。
通過許多因素,包括輸入阻抗、功率控制和濾波,調節電路在能量收集系統中扮演關鍵角色。換能器(無論是熱、太陽光電還是振動發電源)、電源調節電路、微控制器和儲存設備(超級電容器)都是不可或缺的組件。
(本文編譯自EDN姊妹網站EE Times美國版,參考鏈接:New Thermoelectric Material Has Huge IoT Potential)
免責聲明:本文為轉載文章,轉載此文目的在于傳遞更多信息,版權歸原作者所有。本文所用視頻、圖片、文字如涉及作品版權問題,請聯系小編進行處理。
推薦閱讀:



