【導讀】設計音頻放大器的電源時必須將特殊注意事項考慮在內。與標準隔離式電源相比,音頻信號的非線性性質提出了不同的設計挑戰。
設計音頻放大器的電源時必須將特殊注意事項考慮在內。與標準隔離式電源相比,音頻信號的非線性性質提出了不同的設計挑戰。
音頻功率
在廣泛的電氣工程領域中,你會發現一個現象:不同的行業,甚至不同的公司,可能會使用不同的專業術語來描述同一個主題。為了實現成功的設計,電源工程師和音頻工程師之間的相互理解至關重要。
首先需要明確兩個術語:峰值功率和連續功率。峰值功率是最大瞬時音頻功率。它將決定電源可實際輸出的功率大小。連續功率是指一段時間內的平均音頻功率。在電源設計中,連續功率是指系統在不超過元件溫度或平均電流額定值的情況下可以提供的特定輸出功率。圖 1 提供了峰值和連續音頻級別的示例。它們與波峰因數(波形的峰值與均方根 (RMS) 值之比的度量)有關。

圖 1. 此圖展示了連續和峰值功率音頻級別
它也可以通過方程式 1 用分貝表示:

方程式 1
用 RMS 表示音頻功率并不恰當,因為從技術角度而言,它并不是計算得出的功率波形 RMS 值。音頻放大器規格設定非常復雜,無法在此處詳盡闡述,可能需要另寫一篇文章來深入探討。請注意,有關額定放大器功率級別的行業標準不一定能明確電源在峰值和連續功率方面的要求。
以針對 400W 音頻放大器設計 LLC 串聯諧振轉換器 (LLC-SRC) 為例。在事先不了解音頻系統的情況下,可能會設計出卓越的 400W 電源。但在需要為放大器加電時,電源會出現故障或音頻質量較差等問題。LLC 轉換器的增益曲線通常會基于最大負載設計,并在最小線路條件下接近串聯諧振頻率運行。這種方法通常會設計出卓越的 400W LLC-SRC,但在實際的音頻系統中,峰值功率實際上將大于放大器的 400W 額定功率。開始電源設計之前,應至少指定連續功率和峰值功率。
對于 400W 放大器示例,播放壓縮音樂的消費類產品的適當功率級別可以是 200W 的連續功率,也可以是 800W 的峰值功率,持續 15ms。這表示波峰因數為 12dB,即經處理音樂的典型值。未經處理的音頻約為 18dB 至 20dB,電影音頻約> 20dB。峰值與連續功率之比最終取決于具體的應用,因此,在設計過程的早期就必須清楚地定義這些參數。不同負載電平的持續時間要求對于優化設計也很有幫助。請謹記,務必要考慮音頻放大器的效率,因為放大器中會存在損耗,從而導致電源的負載更高。
LLC-SRC 設計
一旦規格最終確定,便可以繼續進行電源設計。根據地區和應用的電源質量標準,您可能需要為此功率級別的設計提供功率因數校正 (PFC) 電源。PFC 前端將提供穩壓 400VDC 總線,用作 LLC-SRC 的輸入。
與大多數諧振轉換器一樣,設計 LLC-SRC 的第一步是選擇諧振回路元件。這將設置諧振頻率并形成增益曲線。在此步驟中,確保可以達到峰值功率電平下的輸出電壓。如果諧振回路無法實現所需的增益,則輸出電壓將在音頻達到峰值時下降,從而降低音頻質量或關閉放大器。峰值功率的持續時間要求對于輸出電容器來說通常太長,無法維持輸出電壓,因此電源需要能夠實際提供整個峰值負載。
對峰值增益預留一些額外的余量。由于變壓器構造的物理限制,并不總是能達到精確的匝數或電感值。對于需要達到高峰值功率的音頻設計,使用分立式諧振電感器將大有裨益,可確保更精確的諧振和磁化電感。
在峰值功率下,選擇可處理峰值電流的元件非常重要。設計磁性元件時,請確保它們不會飽和。在連續功率下,根據持續熱性能來選擇元件和封裝很有必要。設計人員可能會縮減某些封裝的尺寸,并使用 PCB 進行熱管理,而不是使用散熱器。
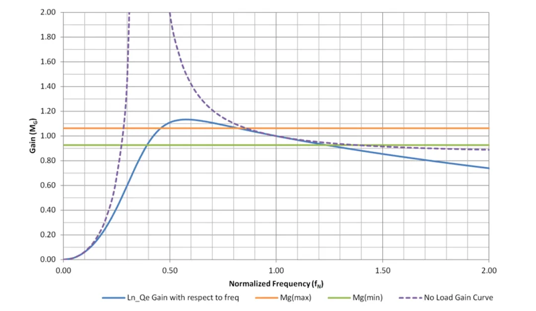
與任何 LLC-SRC 一樣,構建增益曲線是一個迭代過程。嘗試達到特定的工作頻率、諧振電流和電壓,并在峰值和連續功率級別之間平衡設計頗具挑戰性。在完成計算時,需要調整磁化電感、諧振電感、匝數比和諧振電容。100kHz 是硅基設計的常見諧振頻率目標。對于音頻應用,目標應設為 100kHz,以實現連續功率工作點。圖 2 展示了針對上述示例的增益曲線。工作頻率范圍為 83kHz 至 139kHz。

圖 2. 該增益曲線針對 LLC-SRC 設計而構建
突發模式
現代 LLC-SRC 設計的一個重要方面是可提高輕負載效率的突發模式運行。突發模式還用于滿足行業待機功耗相關規定。當突發數據包頻率處于可聞噪聲范圍內時,需要考慮可聞噪聲,但 UCC256404 等一些 LLC 諧振控制器使用突發模式控制律來防止突發頻率產生可聞噪聲。
以下是三種方法以及相應的選擇理由:
? 啟用突發模式:使用突發模式可在不關閉主輸出的情況下降低待機功耗。將瞬時為放大器供電,這樣便不會因電源啟動造成延遲。
? 禁用突發模式:在待機模式下,轉換器將需要通過標準開關操作來調節輸出。這降低了輕負載效率,但可以降低復雜性并進一步消除任何可聞噪聲問題,例如次級側整流器寄生效應對增益曲線的影響。圖 2 展示了增益曲線在較高頻率下實際如何開始上升。如果無法達到最小增益,電源將失去調節功能。
? 禁用外部控制器:當音頻放大器未運行時,使用外部禁用電路來關閉控制器。與突發模式相比,這種模式可以降低待機功耗,但會增加成本,因為系統現在需要輔助電源。當放大器準備好輸出音頻時,也會存在啟動延遲。

圖 3. 在禁用突發模式的情況下,增益曲線將開始在較高頻率處攀升
LLC-SRC 是一種高性能拓撲,可支持 100W 至 500W 的連續功率范圍。該拓撲非常適用于需要高效率和超低電磁干擾 (EMI) 的交流/直流系統。諧振轉換器設計頗具挑戰性,即使在被應用到錯綜復雜的音頻系統之前也是如此。電源工程師和音頻工程師在放大器所需的峰值和連續功率級方面相互了解是一切的基石。上述策略可視作成功設計用于音頻應用的 LLC-SRC 的良好開端。
免責聲明:本文為轉載文章,轉載此文目的在于傳遞更多信息,版權歸原作者所有。本文所用視頻、圖片、文字如涉及作品版權問題,請聯系小編進行處理。
推薦閱讀:






