【導讀】電容器像電阻一樣反對電流流動,但與電阻器以熱的形式消散其不必要的能量,當電荷充電和釋放時,電容器將能量存儲在其板上,或者在放電時將能量歸還到連接的電路中。
我們看到一個電容器由兩個平行的導電板組成,該電導板由絕緣體分離,并且在一塊板上具有正( + )電荷,另一個板上的負電荷( -)電荷在另一個板上。
我們還看到,當連接到DC(直流電流)電源時,一旦電容器充滿電,絕緣體(稱為介電)會阻止電流通過它的流動。
電容器像電阻一樣反對電流流動,但與電阻器以熱的形式消散其不必要的能量,當電荷充電和釋放時,電容器將能量存儲在其板上,或者在放電時將能量歸還到連接的電路中。
電容器通過將電荷在其板上存儲在電流中反向或“反應”的能力稱為“電抗”,因此,由于該電抗與電容器有關,因此稱為電容式電抗(X C),并且像電阻,電抗性一樣也可以在歐姆的。
當完全放電的電容器在電池或電源等直流電源上連接時,電容器的電抗極低,并且電路電流通過電容器流動很短,而電容器板則呈指數為代價。
一段時間后等于“ 5RC”或5個時間常數,電容器的板充滿了等于電源電壓的電荷,沒有進一步的電流流量。在這一點上,電容器對直流電流流的電抗在Mega-Ohms區域的值,幾乎是一個開路,這就是為什么電容器阻止DC的原因。
現在,如果我們將電容器連接到不斷逆轉極性的AC(交替電流)電源,那么對電容器的影響是其板在與所施加的交替供應電壓上的關系中不斷充電和放電。
這意味著充電和排放電流總是在電容器板中流入和流出,如果我們有電流流量,我們還必須具有反對的值。但是它是什么值,哪些因素決定了電容電抗的價值。
在有關電容和電荷的教程中,我們看到電容器板上存在的電荷量與電容器的施加電壓和電容值成正比。由于應用交替的電源電壓(VS)在不斷變化的價值變化,因此板上的電荷也必須在價值上變化。
如果電容器具有較大的電容值,則對于給定的電阻,r為τ= rc充電所需的時間更長,這意味著充電電流在更長的時間內流動。較高的電容會導致給定頻率的電抗值x c 。
同樣,如果電容器具有較小的電容值,則需要較短的RC時間常數才能給電容器充電,這意味著電流將在較短的時間內流動。較小的電容會導致更高的電抗值x c。
然后,我們可以看到較大的電流意味著較小的電抗性,而較小的電流表示較大的電抗性。因此,電容電抗與電容器的電容值成反比,x c∝ -1 c 。
但是,電容并不是決定電容抗性的因素。如果施加的交替電流處于低頻率,則電抗有更多的時間在給定的RC時間常數中堆積,并且反對電流表示很大的電抗值。
同樣,如果應用頻率很高,則充電和放電循環之間幾乎沒有時間以堆積并反對導致電流流量較大的電流,表明電抗較小。
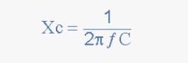
然后,我們可以看到電容器是阻抗,并且這種阻抗的幅度取決于頻率。因此,較大的頻率意味著較小的電抗性,較小的頻率意味著較大的電抗性。因此,電容電抗X C (其復雜的阻抗)與電容和頻率成反比,并且電容式電抗的標準方程式為:
電容電抗公式

電容電抗公式
在哪里:
XC =歐姆的電容電抗,(ω)
π(pi)= 3.142的數字常數
? =赫茲的頻率,(Hz)
C = Farads的電容,(F)
串聯電容器的電壓分布
現在,我們已經看到了對電容器的充電和排放電流的反對不僅取決于其電容值,而且還取決于供應的頻率,讓我們看一下這如何影響兩個在形成電容電壓分裂串聯的電容的電容器電路。
電容電壓分隔器

電容電壓分隔器
考慮兩個電容器,即C1和C2,串聯到10伏的交替供應中。由于兩個電容器是串聯的,因此電荷Q是相同的,但是它們的電壓將不同,并且與它們的電容值相關,如V = Q/C。
電壓分隔電路可以是由反應組件構造的,就像它們都遵循電壓分隔規則一樣,可以像電阻一樣容易地構造它們。以此電容電壓分隔電路為例。
每個電容器之間的電壓可以通過多種方式計算。一種方式是找到每個電容器的電容電抗值,總電路阻抗,電路電流,然后使用它們來計算電壓下降,例如:
電容電壓分隔器示例NO1
在上面的串聯電路中,使用10UF和22UF的兩個電容器,當在80Hz處的正弦電壓為10伏RMS時,計算每個電容器的RMS電壓降低。
1。10UF電容器的電容電抗性

10UF的電容電抗
2。22UF電容器的電容電抗

22UF的電容電抗
串聯電路的總電容電抗性 - 請注意,串聯電抗的添加在一起,就像串聯電阻一樣。

電路電抗
或者:

總電容電抗
電路電流

因此

電容分隔電壓下降

當電容器值不同時,較小的值電容器將自身與較大的值電容器相比,在上面的示例中分別為6.9和3.1伏。
由于Kirchhoff的電壓定律適用于此和每個連接電路的電壓,因此單個電壓下降的總和在價值上等于電源電壓V S和6.9 + 3.1的總和確實等于10伏。
請注意,無論電源頻率如何,在串聯電容電壓分隔器電路中連接的兩個電容電壓電路中連接的兩個電容器的比率下降將始終保持不變。然后,即使供應頻率從80Hz增加到8000Hz,在我們簡單的示例中,上面的兩個電壓為6.9伏和3.1伏特的電壓下降也將保持不變。
免責聲明:本文為轉載文章,轉載此文目的在于傳遞更多信息,版權歸原作者所有。本文所用視頻、圖片、文字如涉及作品版權問題,請聯系小編進行處理。
推薦閱讀:
貿澤電子與Amphenol聯合推出全新電子書探索連接技術在電動汽車和電動垂直起降飛行器中的作用





