【導讀】RS-485接口通信在某些情況下,例如當一個驅動器釋放總線給另一個驅動器時,會出現短時間總線上沒有驅動電流的情況。此時,兩端的匹配電阻會將差分總線電壓放至0V,這對于許多RS-485接收器來說是一個未定義的輸入電平。
RS-485接口通信在某些情況下,例如當一個驅動器釋放總線給另一個驅動器時,會出現短時間總線上沒有驅動電流的情況。此時,兩端的匹配電阻會將差分總線電壓放至0V,這對于許多RS-485接收器來說是一個未定義的輸入電平。對于這種未定義的輸入電平,接收器可能會輸出錯誤的邏輯狀態,或在更糟的情況下發生振蕩。振蕩會被控制器誤解為不斷重復的通訊開始位,導致控制器浪費寶貴的帶寬去響應這些并非真正的通訊請求。而故障安全總線偏置電路是解決此問題的方法之一。
注:下文中出現的

被動元器件通訊無故障偏置電路是當驅動總線上沒有驅動電流時(見圖1),通過上拉、端接和下拉電阻組成的電阻網絡進行分壓操作提供一個差分直流總線電壓VAB,進而保證通訊安全無故障。
如果要驅動所有接口器件輸出達到定義的高電平空閑狀態,VAB必須高于最大輸入閾值VIT-MAX 。此外,考慮到在惡劣的工業環境中運行的情況,應該增加足夠的噪聲容限使得VAB = VIT -MAX + VNoise。


圖1 適用于短至中等總線距離的通訊安全無故障偏置電阻網絡
本文會幫助系統工程師設計成功的通訊安全無故障偏置網絡。通過提供計算公式,可以幫助計算電阻阻值以及收發器由于單向和雙向通訊安全無故障所加端接電阻而允許的最大總線負載。文章還將展示ISL315x系列高VOD收發器,其共模可接60個負載單元(UL)的驅動能力遠超標準收發器的32個負載單元(UL)的驅動能力。
單端通訊安全無故障保護偏置網絡設計
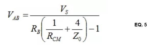
對于≤100米短距離通訊,和通訊空閑時線上電壓在0.05V≤VAB≤0.3V,在總線的一端設置偏置電路一般就足夠了。為了簡化,圖1所示的網絡被轉換成圖2的簡化等效電路。請注意偏置電阻RB和終端電阻RT1和RT2。REQ表示連接到總線的所有收發器的等效輸入電阻。

圖2 電路的簡化集總等效模型
在推導電阻值計算等式之前,先看一下線路阻抗匹配和共模負載所須滿足的條件:
1) 沒加偏置網絡的電纜的端接電阻為RT1,其阻值應與電纜的特性阻抗Z0匹配。

2) 為了匹配正常工作時的線路阻抗,與終端電阻RT2并聯的兩個偏置串聯電阻組合必須匹配電纜的特性阻抗:Z0 = 2RB||RT2.因此,對于給定的RB值,RT2變為:

3) RS-485規定了最大共模負載,符合標準的收發器必須能夠使用32個并行UL驅動。一個單位負載(UL)的最小共模電阻約為12kΩ。因此,32個UL的總共模負載導致最小的共模電阻RCM=375Ω。
由于偏置電阻是等效的收發器輸入電阻外的共模負載,因此RB和REQ的并聯值必須大于或等于RCM:RB||REQ ≥ RCM。因此對于給定的RB值,REQ被限制為:

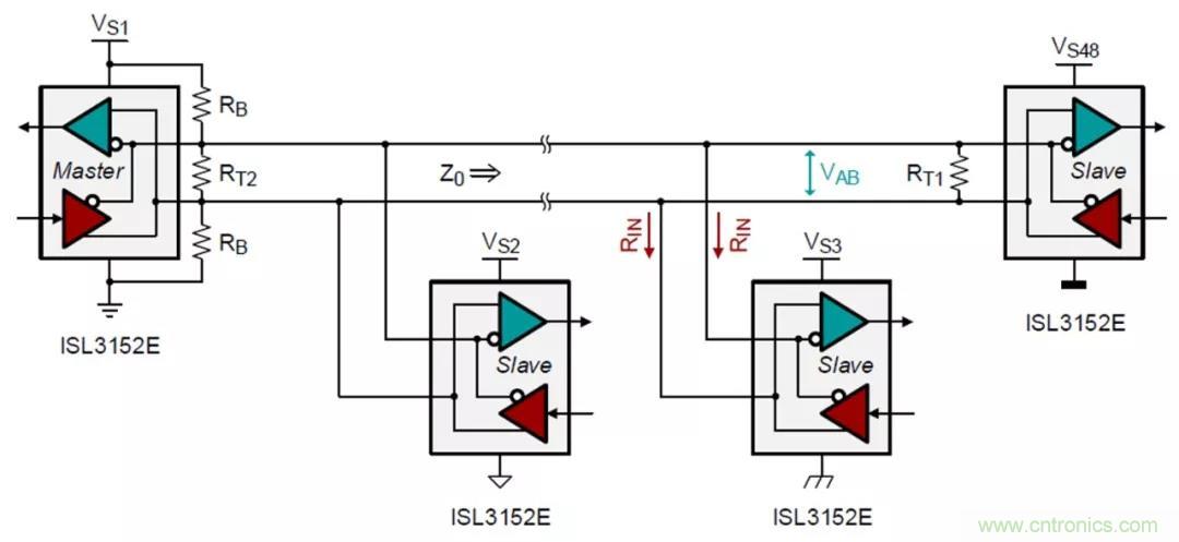
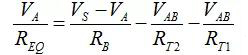
為了找到計算RB的等式,我們確定了圖2中A和B的節點電流,并求出各線的電壓VA和VB。
節點A)


節點B)


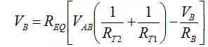
然后計算線電壓之間的差值可求得差分總線電壓:

代入EQ.1,2和3到EQ.4得到了線纜上通訊空閑時直流電壓的最終等式:

并且求解RB的最小偏置電阻值:

共模負載
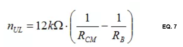
由于通訊安全無故障偏置電路帶來了額外的共模負載,因此有必要計算加了這個負載后線纜上所允許收發器單元的最大數量nUL,要確保總線負載不至于降到RCM =375Ω以下。
nUL是1單位負載(UL)共模電阻與線纜上所有收發器單元負載共模電阻之間的比例:nUL =12kΩ/ REQ ,代入EQ.3等式得到:

使用n×1UL,2n×1/2UL,4n×1/4UL或8n×1/8UL個收發器可以實現收發器單元負載的最大數量。
兩端通訊安全無故障偏置電路
為了在長電纜中保持恒定的VAB,總線兩端都需要加偏置電路。每端偏置電阻網絡可以補償電纜另一端偏置電壓在線纜上的損耗。
圖3顯示了具有兩端通訊安全無故障偏置電路的簡化等效電路。

圖3 兩端通訊安全無故障偏置電路的簡化等效模型
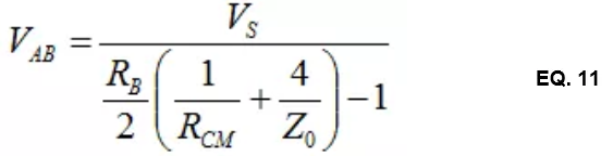
對于終端電阻的要求RT與單端通訊安全無故障保護偏置網絡的RT2相同,要求是 Z0 = 2RB||RT。因此,對于給定的RB ,RT必須是:

但是,共模負載的條件發生了變化,因為線纜兩端都有并聯接地的偏置電阻。因此,RB/2和REQ的并聯組合需要大于或等于RCM :RB/2 || REQ ≥ RCM。因此,對于給定的RB值,REQ被限制為:

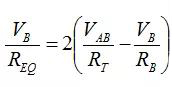
為了得到RB的等式,我們分別確定節點電流A和B。因為偏置網絡是相同的,所以它們通過REQ驅動相同的電流量。因此,我們必須通過REQ建立一個電流然后將其乘以2,以確定總線中間的VAB。
節點A)

節點B)

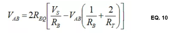
求解各個線電壓的節點電流VA和VB ,并計算它們之間的差值可得到差分總線電壓:

將EQ.8和9帶入EQ.10得到VAB的最終方程:

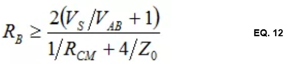
并且求解RB得到所需的最小偏置電阻值:

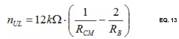
使用RB時,現在可通過以下方式計算收發器單元負載的最大數量:

注意,因為對兩端通訊安全無故障偏置電路的RB值是單端通訊安全故障偏置電路的RB值的兩倍,所以兩種應用的nUL仍然是相同的。
計算示例
在以下示例中,我們分別計算了單端通訊無故障和兩端通訊無故障偏置電阻值, 考慮到了長線和短線通訊, 設定匹配阻抗為Z0 =120Ω。本例中使用ISL8487E總線收發器。該器件是1/8 UL收發器,最小電源電壓Vs = 4.75V。其最大接收器輸入閾值為200mV,假設噪聲容限為100mV,所以通訊空閑時要求線上電壓VAB = 300mV。

RS-485收發器選擇
出于以下兩個理由,選擇最好的收發器帶有足夠的抗噪聲和輸出驅動能力對于健壯的線纜間通訊設計非常重要。
1) 在總線未被主動驅動的時候,即使在干擾嚴重的環境中,也應該有足夠的噪聲容限來防止接收器錯誤觸發。
2) 在正常數據傳輸期間,發送端必須有足夠能力驅動由通訊安全無故障偏置電阻增加的共模負載,并仍然為遠端收發器提供具有足夠噪聲容限的信號。
例如,第一代ISL8487E器件具有VIT-max = 200mV的正端接收器輸入閾值。通過偏置僅增加50mV的小噪聲容限就會使VAB = 200mV + 50mV = 250mV。
將其與第二代收發器(如帶完全故障保護功能的ISL83082E)進行比較。無論接收器輸入是浮動(總線斷開)還是短路(總線短路或空閑),其接收器輸出都會變高。
完全故障保護功能是通過將最大輸入閾值偏移到稍微負值的電平來實現的,在這種情況下,電平為-50mV。為了提供相同的50mV噪聲容限,0V的VAB足以消除對外部通訊安全無故障偏置電路的需求。沒有偏置電路時,所有32個單元負載都可供總線收發器使用。
在較高電噪聲污染的現代工業應用中,工業網絡(例如PROFIBUS)采用兩端通訊安全無故障偏置電路以保證總線空閑時電壓為0.6V或更高。如此高的VAB水平要求偏置電阻的阻值非常低,以至于它們的組合值下降至遠低于375Ω最小共模電阻。發生這種情況時,nUL的計算結果將為負值。事實上,可以通過在EQ.12中設RB/2 = RCM來計算最大的VAB(當nUL = 0時 )。

因此,支持高VAB電平的通訊需要性能更好的收發器,與標準兼容收發器相比,它們提供更高的差分和共模驅動能力。
瑞薩電子ISL315x產品系列的高VOD收發器能夠滿足這些需求。這些器件能夠以VOD-MIN = 1.5V的最小差分輸出(見圖4)并聯驅動多達8個120Ω端接電阻,并且可在-7V到+12V的共模電壓范圍內驅動超過60個直流單元負載,最小VOD為2.4V(見圖5)。

圖4 差分輸出驅動能力:ISL315x對比標準RS-485收發器

圖5 共模輸出驅動能力:ISL315x對比標準RS-485收發器
ISL315x卓越的輸出驅動能力對于最遠距離的總線收發器也具有增強的抗噪聲能力,與標準RS-485收發器相比可以實現兩倍的共模載荷。
表1列出了單端和兩端通訊安全無故障偏置網絡的電阻值,并將兩個可用的標準收發器ISL8487和ISL83082以及高VOD收發器ISL3152單元負載與噪聲容限進行了比較。
表格1 標準和高VOD收發器的偏置電阻值,單位負載和與噪聲容限對比

具有200mV輸入閾值的收發器,例如ISL8487,僅允許最高100mV的空閑置總線噪聲容限。超過該范圍,更高的VAB要求偏置電阻值非常低,以至于收發器單元負載的結果數量會變為負值。
帶有完整的通訊安全無故障的收發器,如ISL83082,由于其負輸入閾值為-50mV,因此只需要很低的VAB值。這就允許更高的偏置電阻值以及在總線上帶更多數量的收發器。但是,這兩種收發器類型只具有最多32個單元負載的標準驅動能力,其一般標準的噪聲容限和較少數量的低收發器支持很難在干擾嚴重的環境中的使用。
與之形成鮮明對比的是,具有高VOD的ISL3152在中等噪聲水平下可輕松驅動兩倍以上的收發器數量,并可在600mV噪聲容限下仍支持多達100個收發器。為了實現更高的噪聲容限,增加電纜的特性阻抗是必要的。在PROFIBUS中Z0 =150Ω,因此RT和RB可采用更高的值以降低偏置網絡的共模負載。
結論
增加一個故障保護偏置網絡可確保在總線空閑時各網絡節點仍可穩定運行。另外,在正常數據傳輸期間,由偏置電阻引起的共模負載必須由驅動器主動驅動。工業網絡所需的高噪聲容限需要低偏置電阻值,其共模負載會使標準RS-485收發器的驅動能力負擔過重。ISL315x系列大輸出電壓擺幅收發器可以解決這個問題,其能夠驅動多達八個120Ω端接電阻和六十多個直流單元負載。結合本文提供的等式,這些收發器簡化并加快了故障保護偏置網絡的設計。



