【導讀】功率半導體熱設計是實現IGBT、碳化硅SiC高功率密度的基礎,只有掌握功率半導體的熱設計基礎知識,才能完成精確熱設計,提高功率器件的利用率,降低系統成本,并保證系統的可靠性。
前言
功率半導體熱設計是實現IGBT、碳化硅SiC高功率密度的基礎,只有掌握功率半導體的熱設計基礎知識,才能完成精確熱設計,提高功率器件的利用率,降低系統成本,并保證系統的可靠性。
功率器件熱設計基礎系列文章會比較系統地講解熱設計基礎知識,相關標準和工程測量方法。
上一篇講了兩種熱等效電路模型,Cauer模型和Foster模型,這一篇以二極管的浪涌電流為例,講清瞬態熱阻曲線的應用。
浪涌電流
二極管的浪涌電流能力是半導體器件的一個重要參數。在被動整流應用中,由于電網的頻率是50Hz,因此10ms的二極管電流能力一般作為表征這一性能的參數被寫入器件數據手冊中。但是也有一些應用場合其時間是不同的,比如電網頻率是60Hz,或者半導體器件IGBT短路,直流側能量通過二極管放電,因此在這些特定場合條件下需要利用瞬態熱阻計算不同時間尺度下二極管能承受的浪涌電流。
浪涌電流導致的二極管失效表明失效點來自鋁金屬化層的熱失效,然后導致二極管PN結損壞,因此普遍認為二極管在承受高浪涌電流時,能量或者熱是導致失效的根本原因,也就是說溫度變化是直接導致器件損壞。下圖是二極管損壞的照片,照片中紅色箭頭標識的位置出現熔化。

圖1.浪涌電流條件下,二極管芯片損壞照片
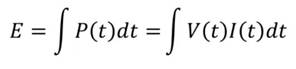
下面從能量角度分析,設E為這一過程中的由于大電流產生的能量:

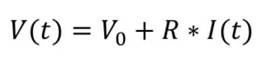
在這一工作過程中,我們把V-I關系做線性化處理:

當電流比較大時,V0可以被忽略,通過積分可以得到:

在上式中,R表示二極管V-I曲線的斜率,IFSM表示浪涌電流大小,tp指對應的時間。
另一方面,我們假定芯片的溫度變化Delta T可以用如下公式表示:

從上式可以得出,如果我們認定溫度變化是導致芯片在浪涌大電流損壞的主要原因時,就可以認為zthjcI2FSM一個常量。
如上文中談到的,一般的數據手冊中會給出10ms的二極管浪涌電流值,同時熱阻曲線也會給出,依據以上公式就可以計算任何時間的二極管浪涌電流大小了。

瞬態熱阻曲線的應用
如下通過一個實例計算FF600R17ME4的二極管電流以及I2t隨時間變化的曲線,便于在應用系統中和熔斷保護器匹配使用。以下舉例計算FF600R17ME4器件在100ms的浪涌電流。

圖2.FF600R17ME4二極管熱阻曲線
首先,借助動態熱阻曲線的四階參數,可以計算得到10ms時的動態熱阻值為0.02384,同樣也可以計算得到100ms的動態熱阻為0.0622。
從FF600R17ME4的數據手冊可以查到在10ms時,器件的I2t為32000,因此可以計算浪涌電流值為1789A。
接下來用上述公式(1)計算得到100ms的浪涌電流值為1108A。圖3為按照上述方法計算得到的不同時間的浪涌電流值曲線。得到浪涌電流值后,在不同時間的I2t同樣也可以計算,圖4所示為不同時間相對于10ms時的關系曲線。

圖3.通過公式計算的浪涌電流隨時間的變化曲線

圖4.FF600R17ME4 I2t隨時間變化的標幺值
小結
計算半導體器件二極管的浪涌電流的過程如下:
1.從數據手冊熱阻曲線中查到該時間條件下瞬態熱阻值
2.根據公式(1)計算浪涌電流
3.如果要計算和熔斷保護器匹配的I2t,利用上述電流計算就可以
免責聲明:本文為轉載文章,轉載此文目的在于傳遞更多信息,版權歸原作者所有。本文所用視頻、圖片、文字如涉及作品版權問題,請聯系小編進行處理。
推薦閱讀: