中心議題:
- 實時頻譜分析在EMI診斷中的應用
解決方案:
- 診斷、預一致性和一致性測試
- EMI濾波器、檢波器和平均算法的數字實現方案
- 測量速度和實時頻譜分析儀
- 查找當前的EMI問題
頻譜分析儀是電磁干擾(EMI)的測試、診斷和故障檢修中用途最廣的一種工具。本篇文章將重點突出頻譜分析儀在EMI應用的廣闊范圍內作為診斷測試儀器的多用性。頻譜分析儀對于一個電磁兼容(EMC)工程師來說就象一位數字電路設計工程師手中的邏輯分析儀一樣重要。頻譜分析儀的寬頻率范圍、帶寬可選性和寬范圍掃描CRT顯示使得它在幾乎每一個EMC測試應用中都可大顯身手。隨著數字調制數據傳輸和超寬帶(UWB)傳輸方法出現,加上高速數字時鐘形式的非預計輻射裝置的頻率日益提高,當前EMI規范標準已經不能全面解決目前存在的所有干擾類型及其對通信系統的影響。
突發在消費電子和通信中偶發的短高頻干擾正變得越來越常見,例如,計算機中使用的與模式相關的擴頻時鐘,以及嵌入式系統設計中運行有噪聲的定期硬盤訪問周期的硬盤驅動器。這些復雜的數字設備正日益接近以頻率捷變、基于分組模式運行的無線通信系統。
隨著通信系統的干擾特點發生變化,測試設備也在變化。模擬電路以前實現的功能,現在可以以數字方式實現,測量速度不斷提高,我們可以更快地獲得測量結果。泰克公司推出的實時頻譜分析儀可以即時查看非常寬的頻譜跨度,而不會丟失頻段中的信息,從而可以發現、捕獲并測量對傳統技術極具挑戰性的瞬態峰值。
診斷、預一致性和一致性測試
在電磁兼容性(EMC)領域中,設計和檢驗的不同階段會使用不同的設備和技術。在開發的早期階段,EMC設計技術與診斷相結合導致較低的EMI特征,對外部干擾和內部干擾的靈敏度低。通常使用帶有相應濾波器和檢波器的通用頻譜分析儀,確定設計優化對EMC的影響。通常直接在電路板上完成探測,或使用E場和H場探頭,確定設計優化的影響和屏蔽效果。當然,診斷在保證優秀的EMC性能方面沒有限制;通常要求對系統集成進行全面診斷和調試,為保證所有RF子系統達到要求的性能水平,并且不會被集成系統的其他部分劣化。在系統集成后進行預一致性測試,以確定設計中的問題區域。滿足國際標準并不要求進行預一致性測試,預一致性測試的目標是發現潛在問題,降低一致性測試階段發生故障的風險。使用的設備可以是非標準設備,如果在測試結果中增加充足的余量,其精度和動態范圍可以低于標準接收機。預一致性測試可以在認證實驗室中使用快速測量技術完成,這些測量技術旨在"迅速查看"問題區域;預一致性測試也可以在臨時地點由工程設計人員完成。預認證通常采用包含相應濾波器和檢波器的通用頻譜分析儀,因為它們提供了快速測量工具,這些工具通常已經用于設計流程中,不要求額外的資本開支。如果在這個階段發現問題,那么要求進行進一步診斷和設計改動。RSA6100A上提供的功能除診斷外,還可以進行某些預一致性測量。圖5是預一致性掃描實例,它把CISPR QP檢波的軌跡與天線因子表格和雜散信號搜索功能結合在一起。在本例中,軌跡是"環境掃描",考察的是在沒有被測設備時存在的背景信號。
一致性測試要求符合國際標準規定的方法、設備和測量地點。一致性測試通常作為設備生產前設計檢驗的一部分完成。一致性測試是窮盡型測試,耗時長,產品開發這一階段的EMC故障可能會導致昂貴的重新設計,耽誤產品推出。
濾波器、檢測器和平均
濾波器(filter),是一種用來消除干擾雜訊的器件,將輸入或輸出經過過濾而得到純凈的直流電。對特定頻率的頻點或該頻點以外的頻率進行有效濾除的電路,就是濾波器,其功能就是得到一個特定頻率或消除一個特定頻率。濾波器是由電感器和電容器構成的網路,可使混合的交直流電流分開。電源整流器中,即借助此網路濾凈脈動直流中的漣波,而獲得比較純凈的直流輸出。
能檢測色譜柱流出組分及其量的變化的器件。指機械的、電子的或化學器件,用于區分、記錄或指示環境中某一變量的變化,如溫度、壓力、電荷、電磁輻射、核輻射、粒子或分子等。如紫外檢測器是將通過待測物質后的光強變化轉化為電信號的器件,這類信號轉換器英文中又稱為transducer 又稱鑒定器。是檢測色譜分離組分物理或化學性質或含量變化(多數情況是將其轉化為相應的電壓、電流信號)的一種儀器裝置。它是色譜系統中的關鍵部件,色譜分離過程的眼睛。
在許多商用EMI測量中,這些測量單元由Comite International Special des PerturbationsRadioelectriques (CISPR)規定,CISPR是國際標準機構--國際電氣技術委員會(IEC)下屬的一家技術機構。其他標準和認證機構,例如日本的TELEC,也對測量方法和認證技術提出了要求。美國國防部已經開發了MIL-STD 461E標準,對軍事設備提出了特殊要求。
測量帶寬由接收機帶寬形狀或頻譜儀的分辨率帶寬(RBW)濾波器決定。測試帶寬通常是頻譜中可能存在干擾的頻段,而隨著頻率的不同測試帶寬也不盡相同。
檢波器用來計算在某個時點上代表信號的單個點。檢波方法可以計算正峰值或負峰值、電壓的RMS或均值,或在許多EMI測量中,計算準峰值(QP)。
在測量期間,對檢測到的信號使用平均方法。CISPR標準定義的平均算法旨在復現使用擁有規定響應時間的電壓表讀取信號值所產生的影響。通過對檢測到的輸出應用指定帶寬,還可以使用"視頻濾波器"進行平均。對EMI測試,TELEC標準中規定了視頻濾波。
檢測方法
盡管許多EMI測量可以使用簡單的峰值檢波器完成,但EMI測量標準規定了一種專用測量方法,即準峰值(QP)檢波器。QP檢波器用來檢測信號包絡加權后的峰值(準峰值)。它根據信號時長和重復率加權多個信號。QP檢波器的特點是響應快、衰減慢,包含一個表示臨界阻尼表的時間常數。發生頻次較高的信號,其QP測量值要高于偶發的脈沖。
[page]
準峰值檢波器在傳統上一直用于模擬設計中,如圖1所示。

圖1 模擬實現方案中的準峰值檢測器。準峰值檢波器的響應快(充電時間)、衰減慢(放電時間)特點源于該電路中的R-C常數
在圖1中,只要Sin高于S1,那么信號Sin的包絡就會對電容器C到電阻器R1充電。如果輸入信號Sin小于S1,那么電阻R2會對電壓S1放電。
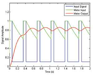
為幫助查看準峰值檢波器與相關儀表組合的響應,圖2把輸入響應(重復脈沖,用藍色表示)、得到的準峰值檢波器響應(具有響應快、衰減慢的特點,用綠色表示)及檢波器與儀表的綜合響應(用紅色表示)分開。
對于帶有QP檢波器的接收機上的常數指標,圖3表明了CISPR 16-1-1標準描述的幅度和重復頻率之間的關系。

圖2 對重復信號的準峰值響應

圖3 準峰值檢波器的脈沖響應曲線
圖4是峰值檢波和QP檢波實例。這里,峰值檢波和QP檢波中查看了8μs脈寬和10ms重復率的信號。得到的QP值比峰值低10.1dB.在測量被測設備的EMI時,通常會先測量峰值,找到超過或接近規定極限的問題區域。然后只在接近或超過限制的信號上進行速度較慢的準峰值測量。通常使用帶有標準峰值檢波器的頻譜分析儀,迅速評估任何問題區域。

圖4 峰值和準峰值檢波對8μs脈寬和10ms重復率的信號的影響,準峰值比峰值低10.1dB
[page]
平均和視頻濾波器
除QP檢波外,實時頻譜分析儀還支持CISPR規范中規定的峰值和均值檢波器。峰值檢波器檢測信號包絡的峰值,均值檢波器計算包絡的平均值。實時頻譜分析儀能夠從同一輸入信號中同時測量QP、峰值和均值,以獨一無二的方式了解DUT的信號特點。某些EMI測量指定了視頻濾波器,視頻濾波器是頻譜分析儀中最早采用的方法,以降低測量噪聲變化所產生的影響。視頻濾波器一詞源于最早的實現方案,即低通濾波器被放在檢測到的輸出與頻譜分析儀CRT的Y軸模擬驅動輸入之間。實時頻譜分析儀和部分現代頻譜分析儀采用數字技術來平滑信號上的噪聲。
在大多數EMI測量中,視頻濾波器指定為關閉,或視頻濾波器指定為至少比測量的指定RBW高出三倍(參見表1)。

指定視頻濾波器關閉(或不小于3倍RBW)的目的,是為了消除視頻濾波器對檢測到的信號的影響。圖4是視頻帶寬(VBW)與RBW之比變化時視頻帶寬的影響。在VBW≥3*RBW或10*RBW(或失效)時,噪聲標準偏差保持在5.4dB.在VBW=RBW時,例如在TELEC規范部分章節中,噪聲變化降低到大約4.7dB.
EMI濾波器、檢波器和平均算法的數字實現方案
標準的EMI濾波器通常由串聯電抗器和并聯電容器組成的低通濾波電路,其作用是允許設備正常工作時的頻率信號進入設備,而對高頻的干擾信號有較大的阻礙作用。電源線是干擾傳入設備和傳出設備的主要途徑,通過電源線,電網的干擾可以傳入設備,干擾設備的正常工作,同樣設備產生的干擾也可能通過電源線傳到電網上,干擾其他設備的正常工作。
檢波器,是檢出波動信號中某種有用信息的裝置。用于識別波、振蕩或信號存在或變化的器件。檢波器通常用來提取所攜帶的信息。檢波器分為包絡檢波器和同步檢波器。前者的輸出信號與輸入信號包絡成對應關系,主要用于標準調幅信號的解調。后者實際上是一個模擬相乘器,為了得到解調作用,需要另外加入一個與輸入信號的載波完全一致的振蕩信號(相干信號)。同步檢波器主要用于單邊帶調幅信號的解調或殘留邊帶調幅信號的解調。
對基于離散傅里葉變換(DFT)技術的頻譜分析儀,通過對離散采集數據應用窗口功能,可以以數字方式執行濾波。采樣率取決于要求的濾波器的帶寬。在采樣頻率相同時,要求更多的樣點來實現更小的濾波帶寬。
實時頻譜分析儀采用Kaiser窗口仿真EMI濾波器。窗口功能的頻響幅度決定著IF濾波器形狀,必須滿足CISPR 16-1-1中規定的帶通選擇限制。
在實時頻譜分析儀中,準峰值檢波器使用數字濾波器實現??梢允褂脭底譃V波器,如無窮脈沖響應(IIR)濾波器,仿真傳統EMI接收機使用的RC充電電路和放電電路。這種臨界阻尼表還可以建模為二階數字IIR濾波器。儀表上顯示的最大值取為準峰值檢波器器值。
在實時頻譜分析儀上,視頻濾波器采用平均技術實現。使用的平均數量取決于選擇的視頻帶寬及測量時使用的RBW.在使用VBW時,得到的測量分析長度取決于選擇的VBW,如果在沒有視頻帶寬時使用RBW,那么會比較長。實時頻譜分析儀選擇平均數量,實現與噪聲變化對VBW/RBW曲線的良好相關性,如圖5所示。

圖5 VBW/RBW之比對隨機噪聲信號標準偏差的影響。在VBW不小于3倍的分辨率帶寬時,其對VBW的信號偏差沒有實際影響
測量速度和實時頻譜分析儀
QP和均值的測量速度一直是測量接收機和頻譜分析儀所面臨的一項挑戰。QP檢波器和儀表響應時間長,因此在很寬的頻率中一次掃描一個頻率并不現實。為解決這個問題,測量使用峰值檢波器完成,可以迅速確定被測設備中最高的EMI峰值。然后在所有問題區域使用單頻率測量,重復執行測量。最近,市場上出現了能夠處理大的信號跨度的接收機和實時頻譜分析儀,其應用QP檢波和平均功能的速度要比單頻率測量技術高出幾個量級。這種計算頻寬中所有頻率點的方法產生了明顯的速度優勢,與掃描技術相比,還有另一個優勢:可以以高得多的偵聽概率查看頻段中的瞬態信號。這一點在當前的設計環境中尤為重要,因為信號隨時間變化和移動,單頻率測量不能表示這些動態變化的信號。
[page]
查找當前的EMI問題
盡管上面介紹的基于標準的測量方法對法定的一致性測試必不可少,但它們通常不能解決、甚至不能檢測到當前系統中EMI設計所面臨的問題。
幸運的是,測量技術的發展已經可以滿足這些需求。上面介紹了如何使用實時頻譜分析儀發現瞬態信號和EMI隱患。在下面的實例中,單個的瞬態信號會產生一串瞬態信號,這些信號每次只持續很短的時間。在本例中,該設備是一種嵌入式系統,在把數據緩存到硬盤時導致了瞬態EMI.在使用掃頻分析儀的峰值檢波器簡單檢查后(黃色軌跡,如圖6所示),似乎只有一個連續信號;把儀器保持Max-hold幾分鐘,同時循環DUT工作模式,會指明問題(藍色軌跡)。但在峰值檢波模式下進行快速掃描會得到黃色軌跡,沒有檢測到問題。

圖6 掃頻分析儀峰值掃描(黃色軌跡)中漏掉的瞬態EMI,在DUT循環通過磁盤高速緩存操作、保持Max-hold模式一分鐘后被發現
圖7使用數字熒光處理(DPX)技術考察DUT的EMI特性,立即發現問題。泰克公司實時頻譜分析儀獨有的DPX頻譜顯示技術每秒可以處理超過48000個頻譜,保證能瞬時捕獲和顯示持續時間超過幾十微秒的信號。在圖6中,發生頻次較高的信號用紅色表示,發生頻次較低的信號用藍色和綠色表示。這樣,可以立即看到哪些信號是連續的,哪些信號是瞬態的。瞬態信號偶爾出現,但其電平要比連續信號高。

圖7 使用DPX在5s后發現的偶發瞬態信號。紅色區域是頻繁發生的信號,藍色部分和綠色部分是瞬態信號
在使用DPX發現潛在問題后,還要觸發和捕獲信號,以便進一步進行分析。通過根據連續信號曲線定義頻率模板觸發,然后在頻譜中捕獲偶發的瞬態信號,可以輕松觸發和捕獲信號。持續時間超過10.3μs、高出頻率模板門限的任何信號都會導致觸發,并把觸發前和觸發后的信號存儲到存儲器中。圖8左側的三維頻譜圖顯示了瞬態信號觸發的4個采集結果。

圖8 使用頻率模板觸發技術捕獲以1s重復率發生的瞬態信號
現在可以全面分析信號了。圖8中的標記顯示了瞬態信號的重復率是1.0s,但瞬態信號的長度并不是一直相同的,而是在5次采集過程中在752μs到200μs之間變化。這種重復頻率和變化的脈寬提供了重要線索,以確定電路中瞬態信號的來源,在本例中是磁盤高速緩存操作,這種操作只在被測設備的特殊工作條件下才發生。
總結
進行基于標準的EMI測量要求使用標準機構規定的專用濾波器和檢波器。接收機、傳統頻譜分析儀和實時頻譜分析儀提供了這些專用濾波器和檢波器。實時頻譜分析儀和某些接收機使用的DSP技術的測量速度要比掃頻方法快幾個量級,因為其可以同時分析整個實時帶寬(高達110MHz)。
與掃頻技術相比,實時分析技術大大縮短了保證100%瞬態信號偵聽概率所需的最低信號時長。通過使用擁有DPX頻譜處理技術的實時頻譜分析儀,可以簡便地調試產生各種瞬態信號的系統,保證在分析過程中不會漏掉瞬態信號。這縮短了獲得信息的時間,提高了確定被測設備質量的信心。




