【導讀】本文深入細致地分析了DSP控制系統的信號完整性問題,從PCB設計和軟件設計兩方面,提出電磁兼容性設計的方案。在教學過程中增加該實例的講解, 使得抽象的電磁兼容理論具體化。這樣,學生的知識面得到擴展,對電磁兼容理論的理解會更加透徹,電磁兼容性設計的能力也會相應提高。
電磁兼容EMC是電子、電氣設備或系統的一種重要技術性能。所謂電磁兼容性是指設備或系統能在所處的電磁環境中正常工作,同時又不對該環境中的其他任何事物構成干擾的能力。
基于DSP的控制系統是一個高速復雜的數模混合系統,在工業過程中會受到各種干擾,使得系統不能正常運行。同時,DSP系統又不可避免地向外輻射電磁波,對周圍的電子設備產生干擾。因此,抑制系統的電磁干擾,提高系統電磁兼容性,成為設計DSP控制系統必須考慮的因素[1]。筆者在教學中發現,學生對EMC的理解不夠透徹,對EMC設計了解太少。本文旨在通過對DSP控制系統中EMC設計實例的分析,加深學生對電磁兼容技術的理解。
1 電磁兼容技術
電磁兼容主要包括兩方面內容:電磁干擾EMI和電磁耐受性EMS,如圖1所示。從圖1可以看出,電磁兼容問題主要從傳導和輻射兩方面進行分析。電子系統電磁兼容設計的目標就是找到一種性價比最優的方式,來降低受試設備[2]EUT對外發射的電磁干擾強度,并提高受試設備自身的電磁干擾耐受性。
圖1 電磁兼容基本內容
無論是復雜的系統還是簡單的電子元件,任何一個電磁干擾的產生都必須具備三要素[3]:電磁干擾源、傳播途徑和敏感設備。其傳播途徑包括無線輻射、有線傳導及地線耦合,如圖2所示。
圖2 電磁干擾三要素
上圖給出三要素之間的關系,電磁干擾源產生的電磁干擾,在一定條件下,通過一定的傳播途徑到達敏感設備,從而對敏感設備產生干擾。
為分析和設計電子系統或設備的電磁兼容性,必須分清這三要素。復雜的系統中干擾源和敏感設備間并沒有明顯的界線,很可能同時存在多個干擾源。干擾的傳播也會存在很多渠道,既有傳導耦合,也有輻射耦合。
2 高速電子系統的信號完整性
信號完整性是指傳輸的信號質量及信號定時的準確性,即在要求的時間內信號完整地從始端傳輸到終端。信號完整性缺失不是由單一元素引起的,而是系統中的多個因素共同決定的。
在高速數字系統中,導線已不僅是單純的導體,而是一條具有分布參數的傳輸線。高速數字系統的信號互連較復雜,布線密度大。系統中各導體間的串擾、多電源間的干擾、D/A間的干擾等都成為影響信號完整性的因素。
3 DSP控制系統的電磁兼容性設計
典型的DSP控制系統如圖3所示。該系統由DSP芯片(包括DSP控制核心、DSP片內外設ADC模塊和I/O模塊等)、同DSP片內外設I/O模塊相連的驅動模塊、信號采集模塊以及被控制對象組成。

圖3 典型DSP控制系統
3.1 DSP控制系統的電磁干擾分析
DSP控制系統的電磁干擾信號會通過多種渠道進入系統,既可以以場的形式從空間耦合到系統,也可以沿各種線路侵入系統。
DSP控制系統的工作頻率較高,使得系統的中各分布電容和分布電感對系統的影響不可忽視。外界以及系統內部間的信號可以通過導體間的分布電容和分布電感耦合到其他回路,耦合原理如圖4和圖5所示。
圖4 電容耦合原理
圖5 電感耦合原理
圖4所示導體1和導體2可以分別表示印刷電路板的時鐘線和數據線,兩導體對地都有分布電容C1g和C2g,兩導體之間有分布電容C。分布電容C
把兩導體連接在一個電路中,使得流經兩導體的信號產生串擾。
假設圖示的等效電路中,干擾源電壓為Ui,則其耦合到導體回路2中的電壓為
式中,X是Ui的角頻率;R是導體2的電阻值。
若R很小,且滿足
則
上式表明,在導體2低阻時,電容耦合干擾只與兩導體間的耦合電容C有關,在干擾源電壓和頻率恒定的情況下,我們可以通過導體的合適接地、屏蔽或隔離來減小C從而減小耦合電壓U2。
若R很大,且滿足
則有
上式表明在導體2高阻時,電容耦合干擾不僅與導體間耦合電容C有關,還與導體2對地的容C2g有關。
圖5表示回路1中有交變電流I1流過時,產生的交變磁通通過回路2產生感應電動勢,對回路2產生電磁干擾。
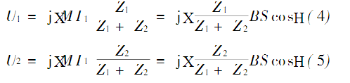
圖中干擾源I1在負載阻抗Z1和Z2上產生的干擾電壓分別為
式中,M為互感系數,S為回路2的回路面積,B為角頻率為X的正弦磁通密度有效值,H為磁通與回路2的夾角。
由式(4)和式(5)可知,減小B、S和cosH可以減小電感耦合干擾。
另外,系統內部的數字電源和模擬電源引起的電磁干擾也非常嚴重。由于電源內阻的存在,干擾信號都會通過電源內阻或地耦合電阻形成互擾,即所謂的公共阻抗干擾[5],如圖6所示。

圖6 公共阻抗耦合
從圖6可知,電路1和電路2的電流流經公共阻抗Z時,在其上產生的壓降會使兩個電路彼此產生耦合,從而惡化系統的電磁兼容性。
3.2 DSP控制系統抗干擾設計
3.2.1合理設計PCB板減小系統串擾
串擾會隨著印刷電路板導線布局密度的增加越趨嚴重,在PCB設計中要盡量做到以下幾點,以此減小串擾的影響。
(1)為防止外界干擾通過圖3所示的信號采集模塊進入系統,可采用某些器件對信號進行隔離。
(2)為減小如圖4所示的兩相鄰導體間的互電容C,可在導體間加接地屏蔽通路,在PCB相鄰層上的布線要互相垂直,以防止層間的電容耦合。
(3)為改善電感耦合干擾,要盡量減小PCB中元件的物理尺寸、并行信號線的長度和信號線到地的參考距離間隔,或增大信號線間距。
(4)電路元件要遠離I/O接口及易受干擾的區域,做到敏感器件(如模擬器件)、強干擾元件(如功率器件)和數字器件合理分開;讓電源線和地線單獨引出,在電源供給處匯集到一點。必要時,加濾波器以隔離不同區域的噪聲。
(5)PCB布線時模擬電源引腳VCCA和VSSA要區別于數字電源引腳。采用單點接地,引腳的引線盡量短。
3.2.2 軟件設計減小DSP系統干擾
由于干擾的存在,DSP控制系統程序可能會跳轉到某些未知區域,導致程序跳轉錯位。實際應用中,我們可以采取以下措施來提高系統的電磁兼容性。
(1)在軟件的所有模塊設置看門狗,一旦軟件跳轉會自動產生復位。
(2)對于輸入的開關信號進行延時防抖動,并輔之硬件低通濾波。
(3)A/D轉換采用數字濾波,以防止突發性干擾。如采用平均法和比較平均法等。
(4)利用特有的外設控制字,設置合理的信號邊沿有效作用檢測時間。
推薦閱讀:



