【導讀】工業現場存在著大量的電感性負載,如電動機、變壓器、繼電器、接觸器和電磁鐵等。由于這些設備和器件具有較大的電感和一定量值的分布電容,故當對其進行切投操作時,會產生幅值高達數百伏甚至數千伏的高頻干擾,成為在附近工作的計算機的主要干擾源。電感性負載切投時所產生的干擾是計算機控制系統最常見最嚴重最難克服的干擾之一。本文借助等效電路,對感性負載切投時產生干擾過程作了分析研究,并提出了抑制干擾的措施。
1 序言
工業現場存在著大量的電感性負載,如電動機、變壓器、繼電器、接觸器和電磁鐵等。由于這些設備和器件具有較大的電感和一定量值的分布電容,故當對其進行切投操作時,會產生幅值高達數百伏甚至數千伏的高頻干擾,成為在附近工作的計算機的主要干擾源。
2 感性負載切投時的等效電路
若開關時理想開關,即假定開或閉的過程是一次性的,且該過程的持續時間為零,那么開關閉合而接通感性負載時,會對電網造成某種程度的沖擊。當開關斷開并切斷感性負載時,負載上會產生極高的反電勢,但由于假定開關是理想的,其觸點間隙將把負載與電網隔離起來,使其不能通過傳導作用而施于電網側的計算機,而只能以耦合和輻射的方式對計算機發生作用。因此,在理想情況下,開關的開與閉所產生的干擾都不算嚴重。但是,實際的開關操作不可避免地伴有間隙的電弧擊穿和觸點的抖動,加之觸點之間往往存有雜質,因此其開關過程不可能是理想性的一次斷開或閉合的過程,而是一個開閉不斷重復的開閉串過程,正是由于開關操作的這一特有運動屬性,決定了電感性負載切投時所產生干擾的一些主要特點。在考慮了開關操作的開閉串效應后,可借助一線性集總參數等效電路來研究電感性負載切投時產生干擾的過程,其等效電路如圖1所示。

圖中L1、C1、R1分別為負載一側的等效電感、電容和電阻。L2為電源一側的等效電感,它主要由電源線電感構成,一般情況下其量值在幾十
以下,且
。C2為電源側的分布電容,其量值約為幾十pF,R2為電源側的電阻,主要指電源線的電阻,也為一很小值,絕大多數情況下
數量級上下。



3 開關斷開而無擊穿時的干擾分析
因為開關斷開或接通時,都不可避免地會產生開閉串效應,引起觸點的重復開閉,故此兩種情況下產生的過程大體一致。現僅以開關斷開時的情況為例分析干擾產生的機理。
當開關斷開時,由于L1的儲能作用,其中的電流不會突然降至為零,因而
中的電流將流向
并對其充電,若忽略上的能量損耗及電容的初始儲能,可求的開關斷開后
上的所能達到的最大值





同理可得
上的最大電壓值



式中I為開關斷開瞬間流經電源導線,即電感性負載中的電流值。當電流越大,其兩側的電壓越高。由于
知,
。當開關斷開,而未發生擊穿時,僅有
通過供電線路與計算機相連,因其量值較小,不會對計算機構成嚴重干擾。



開關斷開后,其兩側將形成一個回路,故開關兩側的電壓將按照二階網絡的運動規律變化。其以電壓
為變量負載側的微分方程為


當開關斷開瞬時,若
恰為電源峰值電壓時,則因滯后其90度,故
為最小值零,因而,
回路將以
為初始震蕩幅值作衰減震蕩,對于20V交流電源系統來說,此起始震蕩電壓幅值為311V,并不會形成嚴重干擾。




當開關斷開瞬時,若
為零,則
將達到最大值
,即電感中儲能最大,此時,負載側電壓最高,往往達數千伏,故干擾最為嚴重。以此為初始條件可求得負載側電壓





同理可求得電源側的電壓


有上述可知:
(1)當開關斷開后,在開關兩側形成一個回路,每一回路均出現一衰減震蕩過程,它們的振幅幅值由開關斷開時的初始狀態決定。電感儲能最大時的震蕩情況可由式(1)和式(2)描述。
(2)負載側與電源側的衰減震蕩頻率分別為:

(3)負載側與電源側的震蕩均隨時間作指數衰減,衰減速率取決于電路參數R和L。由于
與
的量值極為懸殊,故有:
,即電源側的震蕩衰減要快得多。



因此在開關斷開時未發生擊穿的情況下,電源側與負載側將分別產生震蕩,這兩個震蕩無論在幅值頻率和衰減率上都有極大的區別:電源側的震蕩頻率高,幅值小,衰減快,且可直接作用到計算機系統上形成干擾,而負載側的震蕩頻率低幅值高,衰減慢,由于開關的隔離使它無法直接干擾計算機。
4 開關觸點間隙擊穿時的干擾分析
電感性負載被開關斷開后其上的最大電壓為
,往往可達數千伏,而開關斷開的最初時刻,其觸點間隙卻很小,當此高壓加于其上時,觸點間隙必然會被擊穿,將開關兩側電路重新連通,所以,負載側的干擾就不會再是單一的角頻率為
的低幅值干擾了,而要嚴重和復雜得多。


一般認為開關觸點間隙的最小擊穿電壓
約為320V。在開關斷開過程中隨著其觸點間隙的增大,擊穿電壓也相應升高,觸點間可能達到的最大擊穿電壓主要由負載側的最大震蕩電壓幅值
決定,即



在開關斷開的最初瞬間,負載側的電壓絕對值
將以震蕩形式升高,該電壓將與電源側的震蕩電壓串聯而施加于開關的觸點上,當
大于觸點擊穿電壓
時,間隙被擊穿,產生飛弧,將開關S兩側的電路連通,若忽視較小的弧壓降,可得圖2所示的等效電路。




由于
,因此圖2電路中起主要作用的電感支路是
串聯支路,同樣由于
,可知兩并聯電容支路起主要作用的是
支路,所以可將圖2電路再進行簡化為圖3所示的電路。圖中
約等于
。








因為
所構成的震蕩回路具有頻率高,幅值小衰減快的特點,在負載電流較小的情況下,可認為當擊穿發生時,該回路中的電流電壓均已衰減而接近于零。即初始條件為:




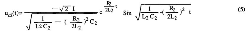
從而求得在觸點間隙擊穿后,電路中所產生的干擾電壓的較為簡潔的描述形式為

由此可知擊穿情況下所產生干擾的性質,其特點如下:
(1)電感性負載切投時,必然會出現開關間隙擊穿現象,形成開閉串過程,從而產生頻率很高幅值極大的干擾電壓。
(2)當擊穿發生后,開關兩側共同構成一新的震蕩電路,其震蕩電壓幅值和初相角均由擊穿時的初始條件確定。在負載電流較小的情況下,振蕩電壓幅值約為
,因
取值在320V與
之間,故幅值極高,震蕩的角頻率
,而擊穿前電路的另外的兩個震蕩角頻率分別為
,比較三個頻率有
,而
與
較為接近。










觸點間隙擊穿后出現的震蕩電壓
兼有
幅值大和
頻率高的特點,而又直接出現在電源系統上,因而成為對計算機最嚴重和最主要的干擾。由網絡理論知,該震蕩電壓達到峰值時,電路中的震蕩電流將降為零,此時觸點間的電弧熄滅,負載側和電源側又分別以角頻率和震蕩,其起始震蕩電壓值均為熄弧時的電壓。



由于
電源側震蕩電壓的極性反轉很快,在負載側電壓的任一半波時,都會多次出現與負載側電壓同極性串聯相加,故熄弧時,即使負載側電壓低于當時的擊穿電壓
,也可能導致間隙重新被擊穿,使角頻率為
的震蕩繼續下去,直到其電壓峰值低于
時,觸點間電弧才完全熄滅。電弧熄滅后,負載側電壓將繼續按上述規律震蕩升高,當其達到新的更高的一個擊穿電壓值時,間隙再次被擊穿,又重復上述的角頻率為
的震蕩過程,形成所謂的開閉串。




