【導讀】屏蔽是利用屏蔽體來阻擋或減小電磁能傳輸的一種技術,是抑制電磁干擾的重要手段之一。屏蔽有兩個目的:一是限制內部輻射的電磁能量泄漏出該內部區域,二是防止外來的輻射干擾進入某一區域。
1、屏蔽效能的概念
屏蔽是利用屏蔽體來阻擋或減小電磁能傳輸的一種技術,是抑制電磁干擾的重要手段之一。屏蔽有兩個目的:一是限制內部輻射的電磁能量泄漏出該內部區域,二是防止外來的輻射干擾進入某一區域。
電磁場通過金屬隔離材料時,電磁場的強度將明顯降低,這種現象就是金屬材料的屏蔽作用。我們可以用同一位置無屏蔽體時電磁場的強度與加屏蔽體之后電磁場的強度之比來表征金屬材料的屏蔽作用,定義屏蔽效能(Shielding Effectiveness,簡稱SE):

2、屏蔽體上孔縫的影響
實際上,屏蔽體上面不可避免地存在各種縫隙、開孔以及進出電纜等各種缺陷,這些缺陷將對屏蔽體的屏蔽效能有急劇的劣化作用。上節中分析的理想屏蔽體在30MHz以上的屏蔽效能已經足夠高,遠遠超過工程實際的需要。真正決定實際屏蔽體的屏蔽效能的因素是各種電氣不連續缺陷,包括:縫隙、開孔和電纜穿透等。
3、孔縫屏蔽的總體設計思想
根據小孔耦合理論,決定孔縫泄漏量的因素主要有兩個:孔縫面積和孔縫最大線度尺寸。如果兩者皆大,泄漏則最為嚴重;面積小而最大線度尺寸大則電磁泄漏仍然較大。孔縫主要分為四類:
(1)機箱(機柜)接縫
這類縫雖然面積不大,但其最大線度尺寸即縫長卻非常大,由于維修、開啟等限制,致使該類縫成為電子設備中屏蔽難度最大的一類孔縫,采用導電襯墊等特殊屏蔽材料可以有效地抑制電磁泄漏。該類孔縫屏蔽設計的關鍵在于合理地選擇導電襯墊材料,并進行適當的變形控制。
(2)通風孔
這類孔面積和最大線度尺寸較大,通風孔設計的關鍵在于通風部件的選擇與裝配結構的設計。在滿足通風性能的條件下,應盡可能選用屏效較高的屏蔽通風部件。
(3)觀察孔與顯示孔
這類型孔面積和最大線度尺寸較大,其設計的關鍵在于屏蔽透光材料的選擇與裝配結構的設計。
(4)連接器與機箱接縫
這類縫的面積與最大線度尺寸均不大,但由于在高頻時導致連接器與機箱的接觸阻抗急劇增大,從而使得屏蔽電纜的共模傳導發射變大,往往導致整個設備的輻射發射出現超標,為此應采用導電橡膠等連接器導電襯墊。
由于輻射源分為近區的電場源、磁場源和遠區的平面波,因此屏蔽體的屏蔽性能依據輻射源的不同,在材料選擇、結構形狀和對孔縫泄漏控制等方面都有所不同。在設計中要達到所需的屏蔽性能,則需首先確定輻射源,明確頻率范圍,再根據各個頻段的典型泄漏結構,確定控制要素,進而選擇恰當的屏蔽材料,設計屏蔽殼體。
綜上所述,孔縫抑制的設計要點歸納為:
(1)合理選擇屏蔽材料;
(2)合理設計安裝互連結構。
4、孔洞泄漏的評估
機箱上不可避免地會有各種孔洞,這些孔洞最終決定了屏蔽體的屏蔽效能(假設沒有電纜穿過機箱)。一般可以認為,屏蔽機箱在低頻時的屏蔽效能主要取決于制造屏蔽體的材料。在高頻時的屏蔽效能主要取決于機箱上的孔洞和縫隙。當電磁波入射到一個孔洞時,孔洞的作用是相當于一個偶極天線;當縫隙的長度達到1/2時,其輻射效率最高(與縫隙的寬度無關)。也就是說,它可以把入射到縫隙的全部能量輻射出去,如下圖所示。

在遠場區,如果孔洞的最大尺寸L小于λ/2,一個厚度為0的材料上的縫隙的屏蔽效能為:

如果L大于λ/2,則SE=0(dB)。
SE:屏蔽效能(dB)
L:孔洞的長度(mm)
H:孔洞的寬度(mm)
f:入射電磁波的頻率(MHz)
這個公式計算的是最壞情況下(造成最大泄漏的極化方向)的屏蔽效能,實際情況下屏蔽效能可能會更高一些。
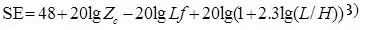
在近場區,孔洞的泄漏還與輻射源是磁場源有關。當輻射源是電場源時,孔洞的泄漏比遠場小(屏蔽效能高);而當輻射源是磁場源時,孔洞的泄漏比遠場大(屏蔽效能低)。對于不同電路阻抗Zc的輻射源,計算公式如下:
若ZC>(7.9/Df):(電場源)

若ZC<(7.9/Df):(電場源)

SE:屏蔽效能(dB)
L:孔洞的長度(mm)
H:孔洞的寬度(mm)
f:入射電磁波的頻率(MHz)
這個公式計算的是最壞情況下(造成最大泄漏的極化方向)的屏蔽效能,實際情況下屏蔽效能可能會更高一些。
需要注意的問題是,對于磁場輻射源,孔洞在近場區的屏蔽效能與電磁波的頻率沒有關系,也就是說,很小的孔洞也可能導致較大的泄漏。這時影響屏蔽效能的一個更重要參數是孔洞到輻射源的距離。孔洞距離輻射源越近,泄漏越大。這個特點往往導致屏蔽體發生意外的泄漏。因為在屏蔽體上開孔的其中一個目的是通風散熱,這意味著孔洞設計都靠近發熱源附近,而發熱源往往是大電流的載體,在其周圍有較強的磁場。結果,無意識地將孔洞開在強磁場輻射源的附近。因此,在設計中,要注意孔洞和縫隙要遠離電流載體,例如線路板、電纜和變壓器等。
以下是兩點設計孔洞的要注意的點:
當N個尺寸相同的孔洞排列在一起,并且相距較近(距離小于λ/2)時,孔洞陣列的屏蔽效能會下降,下降數值為10lgN。
因為孔洞的輻射有方向性,因此在不同面上的孔洞不會明顯增加泄漏,利用這個特點可以在設計時將孔洞放在屏蔽機箱的不同面,避免某一個面的輻射過強。