【導讀】多年研究軟起動器,發現軟起動器對電動機的過載保護有些簡單化,雖然說是反時限保護,但實際是采用定時分段的辦法。如果要真正反應電動機的過載能力又能對電動機起到過載保護就必需通過熱積分,采用熱記憶功能。這樣才能保正系統的可靠性和保護的靈敏性。
1 引言
多年研究電動機保護器,發現軟起動器對電動機的過載保護有些簡單化,雖然說是反時限保護,但實際是采用定時分段的辦法,有時誤動作,有時燒電動機。對于電動機斷續過載保護時由于電動機早已過熱,那么它的過載能力已經減小,對于冷態的電動機來說,它的過載能力要比熱態的電動機過載能力大的多。
如果要真正反應電動機的過載能力又能對電動機起到過載保護就必需通過熱積分,采用熱記憶功能。這樣才能保正系統的可靠性和保護的靈敏性。
1.1 兩種典型的數學模型
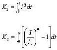
軟起動器對電動機具有控制、保護、監測等功能,對電動機的熱過載保護采用的反時限保護特性有多種數學模型,其中典型的有兩類:
(1)等I2t的時間電流特性
t = k / I2
(2)IEC 60255-3[1]推薦的數學模型
以上式中: Ir — 電流整定值I — 實際電流值
t — 動作時間(s)
K — 表征特性的常數
α— 函數指數
1.2 脫扣器的控制方式
脫扣器的控制方式可采用:
(1)積分法
以兩種典型的數學模型為例,分別求積分值:

(2)查表法
設定I—t對照表,根據當前I控制動作時間t。
但是在實際運行中兩種方法均存在弊端。如用積分法上述的兩類數學模型都可能造成在低于動作值時仍能誤動作;如用查表法在通常電流不斷變化的情況下,很難合理的控制過載脫扣的延時時間。
為了較好的解決低壓斷路器的智能控制器中長延時脫扣器的延時控制,本文試圖按熱保護的基本原理進行分析和探討。
2 熱保護的基本要求
根據熱平衡關系,電氣設備的發熱應等于散熱與蓄熱之和,即
式中:P — 發熱功率;
Kr— 散熱系數;
S — 散熱表面積;
τ— 溫升;
c — 比熱;
G — 發熱體重量;
t — 時間。
微分方程的解為:

過載保護元件應在小于被保護電氣設備溫升允許值的設置值動作,斷開電路。

3 按熱平衡原理整定過載長延時脫扣


[page]
4 動作值和熱時間常數的計算
4.1 動作值

按電動機起動器和斷路器的要求,k2應分別小于1.2和1.3,為同時滿足這兩種要求,并留有裕度,可取k2=1.1~1.15。
由式(11)可取
K=k22T(12)
以K作為式(6)或(7)的截止值,當A≥K時控制器動作,實現長延時保護功能。
式(9)和(10)可轉換為:

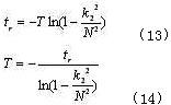
4.2 熱時間常數的計算
在已知任意—N值下要求的tr值,即可計算T。

4.3 延時時間的計算
按式(13)計算在不同過載電流下的延時時間,并考慮電流測量誤差的影響,計算結果見表1(計算時取T=642s)。

為測量智能脫扣器實態通電時的A值,可以采用數值積分的方法等間隔的測量電流和計算A值并與K值比較。
設測量間隔為Δt,并且初始溫升為0,由式(6)和(7)

上列各式中N可以為變量。
逐次計算,逐次與k比較,直至Ax≥k時控制器動作。則

在有輔助電源的情況下,A值逐漸遞減,直至軟起動器重新起動,A值又開始遞增;或輔助電源斷開,A值清零。
為防止過載脫扣后,軟起動器在短時內的再接通并在短時內再分斷,可設置一定的恢復時間,以保證在恢復時間內,軟起動器不得起動。
[page]
6 測量誤差分析
對式(8)微分:

對應表1中的計算值tr,在表2中列出p和f的相應值。
表2 與表1中計算值tr對應的p和f值

表2的誤差傳遞系數f的估算值與表1的計算結果基本相符。
由表1及表2可以看出在較低過載倍數下由電流測量誤差所引起的延時時間誤差較大。
7 保護特性的斜率調節
7.1 建立數學模型
為了滿足不同的配合需要,現在有的制造廠**了改變長延時保護特性斜率的調節功能[2]或參照IEC 60255標準**了不同數學模型的保護特性。為了實現保護特性的斜率調節,本文推薦兩種數學模型并用的方案。
(1)基本數學模型
經對比分析我們可以以式(7)作為基本保護特性的基本數學模型。
(2)用于斜率調節的數學模型
可選用國家標準GB 14598.7(等同IEC 60255-3)推薦的數學模型用于斜率調節。根據GB 14598.7:
式中:N=I/Ir
指數α可選
K為常數
現以三種斜率的保護特性為例:
A型反時限
tr=K/(N0.02-1) (17)
B型反時限
tr=K/(N-1) (18)
C型反時限
tr=K/(N4-1) (19)
K值可根據保護要求設定,或參照前述基本保護特性NIr(如N=2或N=6)對應的時間tr設定。
相關閱讀:
選型技巧:如何選擇電機保護器型號
細說電壓、電流對步進電機的性能影響
試分析軟起動器對電機過載保護的控制方法(下)







