【導讀】事實上,采用最新的集成運轉控制平臺,設計者甚至能夠為自己的設計選擇較小和較低成本的電機,而不會犧牲最終的性能。
洗衣機和冰箱等家電制造商都面臨著提高產品性能與功能的壓力,同時還要降低整體能耗。設計者要滿足這些似乎相互矛盾的目標,同時不會招致明顯的成本損失,關鍵是使用針對控制家電中中等規模電機的新技術。事實上,采用最新的集成運轉控制平臺,設計者甚至能夠為自己的設計選擇較小和較低成本的電機,而不會犧牲最終的性能。

圖1PM交流電機面向現場無傳感器控制
家電電機控制
交流感應電機是多數家電應用中電機的首選目標。這主要是由于它們可以直接用交流電運行,而無需增加控制電路或姿態反饋傳感器。例如,冰箱中的傳統家電控制器是一個簡單電路,它定期執行壓縮機的開機和停機,以保持目標區域的溫度。
當系統開始運行時,壓縮機就連續運轉。一旦溫度到達了目標區,壓縮機便以低占空比運轉。當系統以低的開/關占空比運轉時,壓縮機在大部分時間里都偏離最高效的工作點。改變壓縮機的轉速來匹配制冷負荷,可以減少 40% 的能耗,因為制冷系統能夠以更高占空比運行。
采用三相PM(永磁)電機,并將電機控制在變速運行狀態,就能進一步改進家電的效率。這類電機效率通常可高達 90%,與之相比,傳統的單相感應電機的效率為 70%。同時,這類電機還可以簡化速度控制和轉矩控制。
另外,由于有更高的效率,就可以采用較小的電機,因此降低了單位成本,更容易做機械設計。顯然,從這些電機獲取最大利益的關鍵就有賴于驅動方法的選擇。要準確而高效地驅動冰箱或洗衣機等家電中的變速電機,重要的是能夠獲得轉子姿態的信息。最顯而易見的方式是采用附加的檢測元件。但是,這會同時影響可靠性和成本,實際上是不現實的方法。因此,設計者正在尋找無傳感器技術。
無傳感器的變速電機控制
由于電機控制技術的進步,現在無需姿態傳感器也能實現高效率的三相PM電機交流傳動。圖1是這類系統的一個實例。圖中,右側是三相電源逆變器,它控制著從直流電源進入PM電機繞組的電流,同時空間矢量PWM單元是功率晶體管計算時序信號,然后由功率晶體管為電機提供三相正弦波電壓。低電壓控制信號與連接到高電壓直流總線功率開關之間的接口是一個 HVIC(高壓柵極驅動 IC)。
這些 IC 比分立的柵極驅動電路或普通光電耦合、脈沖變壓器方案更強健和精致。最新的 HVIC 技術采用先進的混合信號半導體工藝,結合了低電壓輸入能力與高電壓驅動輸出和大量板載功能。

圖2MCE與同時集成的8051微控制器芯片上帶有A/D
如圖 1 所示,控制電路的關鍵是需要實現一個磁場定向控制(FOC)算法。這種算法通常用于工業傳動系統中,它計算提供所需速度和轉矩的電機電壓與電流,有最高的電機效率。
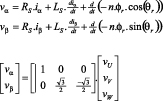
FOC 采用向量變換,將交流電機繞組的電流分解成兩個用于驅動電機磁鏈和轉矩的“準直流”(quasi DC)電流分量。這種變換包括作為轉子磁鏈角函數的一個向量旋轉(e-jq),以取得與轉子磁鏈相配合的一個電流分量(ID);還有一個產生電機轉矩的正交分量(IQ)。
電流反饋控制回路計算出兩個“準直流”的電壓分量VD和VQ,用于保持目標轉矩和磁鏈。第二個向量旋轉為脈沖寬度調制器計算出交流電壓基準。FOC算法的優勢在于,電機轉矩是IQ基準的一個線性函數,它產生一個簡單的線性速度控制規則。在PM電機情況下,控制器將磁鏈電流分量(ID)保持為零,從而實現運動系統效率的最大化。
采用這種算法的一個主要優點是,控制器能夠通過測量逆變器直流鏈接(只用一個直流鏈接分流器為電機提供電流)中的電流,計算出轉子的位置。
估計轉子位置
使用轉子角評估器電路,通過下面的電機繞組電路方程,支持無傳感器的轉子姿態反饋。三相至兩相的變換簡化了計算,并得到兩個關系,分別是轉子磁鏈角的正弦函數和余弦函數。

解出這些方程即得到電機電流與電壓的正弦函數和余弦函數。反正切計算可以確定轉子角,但基于以下誤差函數的鎖相環方法更為強大,它能產生一個副產品,即過濾的速度測量法。
控制器通過對直流鏈并聯電阻上的采樣電流以及功率逆變器開關的時序作同步,重建電機的相電流。如前所述,上述方法的一個顯著優點是電機反饋信號取自單個直流并聯電阻,因此無需使用姿態傳感器或隔離式電流傳感器。于是就獲得了對家電PM交流電機具有成本效益的控制方法,大大提高了效率和性能。
實現無傳感器控制
雖然上述方法為電機控制提供了一種可靠、準確的方法,但它們也給設計工程師帶來了一個重大挑戰,尤其是在建立軟件編碼時。基于這個原因,國際整流器公司開發了iMOTION平臺概念,它包含針對各種應用領域的集成電機控制系統,如家電。
iMOTION平臺概念的核心是專用的運轉控制IC。這些 IC在單只芯片內包含了兩個計算引擎,如圖 2 所示。第一個是運轉控制引擎(MCE),它包含了PM電機無傳感器控制所需的全部代碼;第二個是一只8位高速微控制器。MCE包括一系列硬件實現的控制元件,設計者可以作適當配置,建立針對特定應用的運轉控制算法。配置工作通過一個簡單易用的圖形化編譯器完成。
MCE中提供了FOC算法的關鍵部分,作為完整的預定控制塊。IC還包括一個ADC以及相應的算法,完全支持單一并聯電流重建。有了MCE處理運轉控制,8051微控制器就能自由地運行家電應用軟件,包括排序、用戶界面、主機通信以及較高層的控制任務。MCE和8051MCU共同訪問雙口RAM,允許共享目標速度等設置點,并可在軟件控制下作調整。
相關閱讀:
馬達控制中關鍵安全應用的解決方案
工業自動化方案:傳感器技術及馬達控制的實現
實例告訴你——如何使用 PolySwitch 器件保護馬達





