【導讀】半導體激光器(LD)是理想的電子-光子直接轉換器件,有很高的量子效率,微小的電流和溫度變化都將導致其輸出光功率的很大變化。LD是一種固體光源,由于其具有單色性好,體積小,重量輕,價格低廉,功耗小等一系列優點,已被廣泛應用。
LD的驅動電流要求非常高,必須是低噪聲、穩定度高的恒流源,一般電源很難滿足要求。此外,瞬態的電流或電壓尖峰脈沖,以及過流、過壓都會損壞半導體激光器。
系統總體設計
恒流源一般采用集成運算放大器和一些分立元器件及單片機構成的“壓控恒流源”方法實現,與純模擬元件構成的恒流源相比,這種方法在恒流精度和線性度上都有明顯的提高。但是該方法中單片機是用作顯示與控制電壓的給定,并未對輸出電流實時檢測和控制,屬于開環控制系統,影響了恒流源的穩定性及精度。該系統由“壓控恒流”電路、信號采樣和調理電路、保護電路、鍵盤、LCD顯示、RS 232通信接口以及DSP處理器等環節組成,系統結構框圖如圖1所示。

圖1:系統結構框圖
通過鍵盤輸入給定,并在LCD上顯示,同時經F2812運算處理后輸出相應占空比的PWM信號。PWM經低通濾波器、放大調理后實現D/A變換并作為“壓控恒流”模塊(V-I Constant Current)的控制電壓實現“壓控恒流”。F2812實時對輸出的電流采樣,采樣數據經數字濾波、分析處理后與給定電流值相比較,得到差值作為PI調節算法表達式中的輸入量,通過PI運算得到控制量Uk來調整PWM的輸出實現恒流。
系統硬件設計
直流電源模塊實現
直流電源模塊主要由變壓、整流、濾波、穩壓和“擴流電路”組成。直流電源模塊如圖2所示。+15 V用于“壓控恒流模塊”和運算放大器供電;-15 V用于運算放大器負電源供電;+5 V用于數控模塊供電。將+5 V用高精度、高穩定性的穩壓芯片穩壓后再為DSP處理器供電。

圖2:直流電源電路
“擴流電路”由電阻Rp3和大功率達林頓管TIP147組成,調節Rp3可使+15 V電流得到2 A以上的大電流輸出。為減少直流電流中紋波采用RC-π型有源濾波方法,變阻Rp1,Q1,C3與Rp2,Q2,C4組成兩個RC濾波電路分別對+15 V和-15 V電源高效濾波。為NPN型晶體管,利用晶體管的電流放大作用可以間接增大濾波電容的容值。
假若Q1和Q2放大倍數為β1和β2,則Q1,Q2基極電容C3,C1等效到射極,分別就為(1+β1)C3和(1+β2)C4,從實現大電阻大電容濾波并減小了電路的體積。圖中D5,D6為電源故障顯示,D7和D8起保護穩壓器LM7815,LM7915的作用。當輸出端有負載時,如果LM7915穩壓器的輸入端開路,這時LM7915無輸出,+15 V經負載加到LM7915的輸出端以致損壞LM7915。LM7815的保護原理相同。
恒流源模塊實現
“壓控恒流”是通過控制輸入電壓的變化控制輸出電流。恒流源電路原理如圖3所示。通過硬件電路實現閉環負反饋,即內閉環。圖3中電阻Rs,R4,R5,RF和運放U5構成反饋網絡。假若運放U4是理想的,設輸入電壓為Vs,輸出電壓為Uo。由運放“虛短”可得:
[page]

圖3:恒流源與信號調理電路
Rs,R5,Rf不變時,輸入電壓Vs恒定輸出電流Io恒定。運放U4,U5,電阻Rs,R5,Rf自身的穩定性恒流源的穩定性起決定性作用。因此,U4,U5選用高精度運放OP-27,其漂移僅為O.2μV/℃,最大噪聲電壓為O.25μV。R5,Rf選用溫漂系數低、精度較高的電阻。采樣電阻Rs選用阻值為0.01 Ω大功率錳銅絲電阻,其精度為1%。Q5為大功率達林頓管2SD1559,由于集成運算放大器一般工作在小電流狀態,因此用一個小功率晶體管Q4(9014)驅動Q5。C15,C16,D9,L1構成低通濾波以減少電源中高次諧波對LD的影響,D5在Q5截止時起到扼制流作用。
A/D與D/A模塊實現
F2812芯片內置12位ADC(模/數轉換器),輸入電壓為0~3 V,12位的ADC采樣的分辨率為(3.0 V-O V)/212=0.73mV。F2812根據預置的電流值對PGA103的A1A0引腳置位(A1A0=OO,A1A0=01,A1A0=10分別對應的放大倍數為1,10,100),信號調理如圖3所示。F2812內沒有配置DAC模塊,要實現D/A功能需要外接D/A轉換芯片,轉換精度與芯片的價格成正比關系,這無疑增加了硬件成本。F2812芯片提供的PWM信號,是一種周期和占空比均可變、高電平VH=3.3 V,低電平VL=O V的脈寬調制(PWM)信號。由傅里葉變換可知,對于以時間軸原點為對稱點的、單極性的PWM信號可寫成表達式:

式中:T為信號周期;n=±1,±2,±3±…;An,Bn為各自獨立的傅里葉系數。

由式(3)可知只要將高頻直流分量An濾除,改變PWM信號占空比q(q=O~1)時,可以得到輸出電壓O~3.3 V。由于三階低通濾波器較之于一階與二階低通濾波器有更好的性能。采用“歸一化”方法設計一個Butterworth三階反饋有源低通濾波器,如圖4所示。低通濾波器的傳遞函數表示為:
![]()
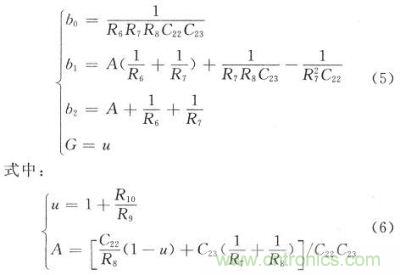
式中:G,bn-1,…,b0為適當選擇的常數。低通濾波器要滿足式(4)必須具備以下條件,

由歸一化方法可得,將截止頻率fc(Hz)和電容C21都歸一化,所以電阻系數為K=100/fcC'',C''是以μF為單位的C21值,要使增益G=2時。由文獻[6]中表2-54可知,K=1時所對應電阻R6~R10電容C22~C23(μF)的系數分別為2.491,2.339,0.692,11.043,11.043,C21,C21。選擇fc=1 000,C''=O.01時, R6~R10,C21~C23分別為24.49l,23.39,6.92,110.43,110.43,O.01,O.01,O.01。經EWB仿真軟件仿真可知該三階濾波電路得到很好的濾波性能,ButterWorth濾波在通帶內沒有紋波,這使得PWM到D/A變換精度上得到保證,仿真結果如圖4所示。

圖4:三階反饋有源濾波幅頻特性





