反激式開關變壓器的漏感一般都比較大,漏感與初級線圈電感之比,大多數都在2~5%之間。漏感的大小主要與變壓器初、次級線圈的繞法、鐵芯和骨架的結構,以及氣隙大小等參數有關,還與磁通密度取值的大小有關,因為磁通密度取得越大,導磁率就會越小,漏感相對也要增大。漏感小于2%或大于15%的開關變壓器,其結構一般都比較特殊。
開關變壓器初級線圈電感量的大小,主要與開關電源的工作頻率有關,還與工作電壓和輸出功率的大小有關。一般輸出功率越大,工作頻率就越低,電感量相應也要增大;而工作電壓越高,電感量也越大。一般工作頻率為30~50kHz,工作電壓為AC110V~220V的開關變壓器,其初級線圈的電感量大約為:300~1000微亨,漏感大約為:10~100微亨;計算時,可按3~6%的比例來取值進行估算。例如:L=1000uH,則可取 Ls = 30~60uH。
開關變壓器初級線圈的電感L和漏感Ls的大小可以用儀表直接測量。測量開關變壓器初級線圈漏感的最簡單方法是把開關變壓器次級線圈兩端短路,然后再測量開關變壓器初級線圈的電感,即漏感。不過測量時不要選擇測試頻率太高,因為開關變壓器初級線圈的分布電容對測量結果影響很大。
[member]
尖峰脈沖吸收電容器容量的計算
要計算尖峰脈沖吸收電容器容量,首先要計算流過變壓器初級線圈電流的最大值。計算流過變壓器初級線圈的最大電流Im可根據開關電源的最大輸入功率Pm來估算。電流Im可根據開關電源的最大輸入功率Pm來估算。根據(26)式,當輸出功率一定時,輸入電壓在一定的范圍內,流過變壓器初級線圈的最大電流Im和輸出電壓Uo基本是穩定的;變壓器初、次級線圈反激輸出電壓的半波平均值也基本是穩定的,與輸入電壓的大小無關,但對應不同的輸入電壓必須對應不同的占空比,參看(41)、(42)式。
當流過開關變壓器初級線圈的最大電流確定之后,尖峰脈沖吸收電容器容量以及電容充電時電壓增量的數值就可以按(33)~(36)式進行計算。
在實際應用中,電容器C吸收尖峰脈沖電壓增量的數值,與開關管的耐壓BVm的參數大小有關。假設電源開關管的耐壓BVm為650V,如果預留20%的余量,那么,正常工作時,加到開關管D-S極之間的最高脈沖電壓
只能達到520Vp。而在520Vp的
電壓之中,電容器C吸收尖峰脈沖電壓增量
(等于
)這一項是要首先考慮的。假設
等于
電壓的20%,即:
=104V,當最高輸入電壓為360V時(對應交流輸入電壓為AC253V),根據(39)式可求得:
![]()
假設漏感
與開關變壓器初級線圈的電感L的比值K為5%,根據(42)式可求勵磁電感產生的反擊輸出電壓
的半波平均值
為:
![]()
大多數反激式開關電源的最大輸出功率都在100W一下,因為用于反激式開關電源功率損耗大于10W的電源開關管種類很少,如需要較大的輸出功率,一般都選用半橋式或全橋式雙激式開關電源。
假設開關電源的最大輸出功率為50W,當占空比D = 0.5時,變壓器初級線圈的反激輸出電壓的半波平均值
與輸入電壓U相等,即,
=U=108V,
=102.6V,而流過變壓器初級線圈的最大電流Im等于平均電流的4倍,由此可求得最大輸入電流Im = 1.95A ;假設開關變壓器初級線圈的電感量L=1000uH,漏感Ls = 50uH。把這些參數代入(34)式,可求得:
![]()
當考慮電阻R對電容器C充電的分流作用,以及開關管由導通到完全關斷期間,漏極電流對電容器C充電的分流作用時,根據(36)式,假設分流系數r = 0.5 ,則(52)式還可改寫為:

上面(52)和(53)式的計算結果,可作為對RCD尖峰脈沖吸收電路進行試驗時,選擇電容器容量的上限和下限,最終結果需要通過電路試驗來決定。
試驗時,以輸入電壓和輸出功率的最大值為條件,然后,由大到小,選擇不同容量的電容器做試驗,用示波器觀測電源開關管D-S兩端的電壓,直到Uds與最高耐壓BVm兩者之差能滿足余量要求時,為最佳結果。
這里順便說明一下,為什么(53)式中的分流系數取值為0.5,而不是其它數值。因為,分流系數r的取值范圍是0~1,它是一個動態系數,它的大小,除了與輸入電壓和輸出功率和RCD電路中電容、電阻的大小有關外,還與開關管的關斷時間,以及電流大小有關系。
尖峰脈沖吸收電阻阻值的計算
紋波電壓
的大小與釋放電阻R的大小還有關。一旦電容器的容量確定之后,釋放電阻R的大小就可以根據(45)~(49)來計算。根據(38)式,電容器兩端最高電壓為:

根據(46)式,電容器兩端最低電壓為:
![]()
把(54)和(55)式的結果代入(49)式,即可求出RC的值:

[page]
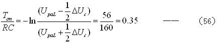
當RC的值與開關管導通時間Ton完全相等時,(46)式的值正好等于0.37,與(56)式的結果非常接近。或者當紋波電壓
=100V時,由(56)式計算得到的結果正好等于0.37,兩者誤差小于4%,因此,可以認為RC的值與開關管導通時間Ton完全相等,以此為條件來計算RC的值。即:
![]()
把由(52)和(53)式求出電容器C的結果,以及根據(25)式求出的Ton值,代入(57)式后即可求出電阻R的值。
由于,當占空比D小于0.5時,流過電感線圈的電流出現斷流(平均值),這也會對分流系數產生很大的影響,使計算非常復雜;為了簡單,我們在計算開關管的導通時間Ton時,還是以占空比等于0.5為例。
當占空比等于0.5時,對應的輸入電壓U為108V,對應的最大電流Im為1.95A,假設開關變壓器初級線圈的電感量L=1000uH,根據(25)式,可求得Ton的值為:

把(53)、(58)式的計算結果:C = 4395P,Ton = 18uS ,代入(57)式:
![]()
即:計算結果為:C = 4395P ; R = 4096 歐姆。
試驗結果表明,(53)和(59)式的計算結果是合理的。當開關變壓器初級線圈的漏感為5%時,其反激輸出電壓的平均功率也為5%(Pa = 2.5W);由于電容器C兩端電壓的半波平均值為108V,當漏感輸出的功率完全被電阻R吸收時,電阻R的最佳值為4.7K,而根據(59)式計算的結果為4096 ?(2.85W),與精確值2.5瓦相差0.35W。這正是把(36)式設為電容器取值范圍下限,對應(53)和(59)所求得的結果,即由(59)所求得的結果還是一個保守的結果,但其離精確值已經非常近。由此可知,要提高開關電源工作效率,必須要降低開關變壓器的漏感。
當輸入電壓為最大值(AC260V)的時候,其占空比大約只有0.3左右,因此,電容器充電的時間要比放電的時間長很多;但在電容器還充電期間變壓器初級線圈會出現斷流,這相當于電容器會提前放電,其結果與占空比等于0.5時的結果基本相同。但做試驗時,最好還是以輸入電壓為最大值時為準。如電阻R的值取得小些,相當于分流系數r降低,這對降低開關管的關斷損耗是有好處的,因為,開關變壓器漏感儲存的磁能量,一部分是通過開關管關斷時產生的損耗來釋放的,另一部分則是通過RCD回路中的電容充電和電阻分流來進行釋放;但電阻的阻值取得太小,又會從勵磁電感線圈吸收能量,降低開關電源的工作效率。
在反激式開關電源中,很多人用一個穩壓二極管來代替RCD電路中的電阻和電容,用以對開關管進行過壓保護,如圖8所示。從原理上來說,這種方法對開關管的過壓保護是有效的,但實踐證明,這種保護方法可靠性很差。因為,當開關管關斷時,1.95A(以上面計算結果為例)的電流流過150~200V的穩壓二極管,其產生的瞬時功率高達290~390W,這么大的瞬時功率很容易使穩壓二極管局部損傷,當損傷程度達到某個臨界點后,就會產生熱擊穿,造成穩壓二極管永久失效。

圖8
另外,當穩壓二極管還沒擊穿之前,它不會對開關管分流,從而大大增大開關管的關斷損耗;并且,流過穩壓二極管的電流還產生很大的電流突跳,很容易產生高頻電磁輻射。因此,對開關管進行過壓保護,在安全及EMC技術性能方面,選用RC要遠遠優于選用穩壓二極管。






