【導讀】近年來越來越流行感應無線電力傳輸,許多手機制造商都采用感應電力傳輸的無線充電功能,而這項技術基本應用于便攜設備中。本文詳解了低成本分立式的無線充電器解決方案。
基本理論
基于感應電源的無線電力傳輸的基本理論非常簡單。眾所周知,交流電場將產生磁場,交流磁場也將產生電場。在發射機中,直流電源轉換為交流電,并產生交流電場。在接收機處,線圈拾取來自交流磁場的電源,并將交流電轉換成直流電作為輸出負載。
發射線圈和接收線圈彼此分離,泄漏電感大且耦合系數小。因此,傳輸效率非常低。為提高傳輸效率,必須采用一個補償電路。常用方法就是在發送機側和接收機側分別放置一個補償電容,形成一個帶有發送線圈和接收線圈的諧振電路,用于改善電源傳輸。圖1顯示了兩個補償電路方法的拓撲結構。通常情況下,在發送機側放置一個電容以形成帶有發送線圈的串聯諧振電路,而在接收機側有兩種不同的拓撲結構。一種是形成帶有接收線圈的串聯諧振電路的電容,另一種是形成帶有接收線圈的平行諧振電路的電容。

圖1:兩個諧振電路拓撲結構。
電壓傳輸函數如下所示:

[page]
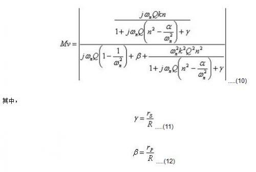
Cp和Lp為發射機側發送線圈的串聯電容值和電感值,而Cs和Ls為接收機側接收線圈的串聯或平行電容值和串聯電感值。M為互感系數。ω0為諧振頻率。ωn為標準化工作頻率。n為兩個線圈電感的比率。Q為品質因子。K為耦合系數。α為發射串聯電容與接收電容的比率。R為輸出負載。

圖2:帶有電感串聯電阻的串聯諧振電路。
在方程式2中,沒有考慮線圈的串聯電阻。如果變更電路模型,如圖2所示,串聯諧振電路的電壓傳輸函數亦會發生變更,如下所示。

而且,平行諧振電路的方程式相似。
有些參數對無線充電器系統產生影響。在無線充電器應用中,大多數系統接收機使用串聯諧振電路。因此,下文將僅討論串聯諧振電路。
(1)品質因子:
在方程式6中,Q被稱為品質因子。發射線圈或輸出電阻的變更會影響Q值。在無線充電器系統中,工作點被設定在諧振頻率處。發射諧振頻率和接收諧振頻率總是相同。所以,我們感興趣的是諧振頻率的電壓傳遞函數值(ωn=1)。圖3顯示了Q值的系統電壓傳輸函數變化。

圖3:具有不同質量因子的電壓傳輸函數。
從該圖可以看出,當Q值變小時,在諧振頻率點的電壓傳輸函數曲線變得更明顯。在這種情況下,電壓傳輸函數對頻率非常敏感,且輸出不易于保持穩定。另一方面,當Q值變大時,諧振頻率處的曲線變化變慢,但電壓傳輸函數變得非常低。為了得到相同的輸出電壓,必須在導致極低效率的發射機處施加更大的輸入電壓和電流。因此,需要慎重選擇合適的Q值。通常,Q值范圍從4到6.
(2)耦合系數
在方程式7中,K被稱為耦合系數。眾所周知,發射機產生磁通。到達接收機的磁通越多,說明線圈耦合得越好。耦合系數用來測量該耦合級別。耦合系數取值在0和1之間,其中0表示發射線圈和接收線圈獨立,1表示發射線圈和接收線圈完全耦合。當線圈完全耦合時,發射線圈產生的磁通完全被接收線圈搜集。

圖4:具有不同耦合系數的電壓傳輸函數。
圖4顯示了耦合系數如何影響電壓傳輸函數曲線。從該圖中可以發現,有一個k值,在此處電壓傳輸函數達到峰值,這表示已實現最佳性能。因此,良好的線圈耦合對獲得更好的系統性能非常重要。
[page]
WPC無線充電器標準
無線充電聯盟成立的宗旨是建立一個關于短距離移動裝置無線電力傳輸的標準,該標準被稱為「Qi」標準。WPC標準定義了低功率無線裝置中的感應耦合工作方法,以及電力發射機與接收機之間的通訊協議。它還規定,從發射機到接收機的最大功率為5瓦,發射線圈與接收線圈之間的典型距離為5毫米。基本系統示意圖如圖5所示。WPC標準下的任何裝置均可與其他符合WPC標準的任何裝置一起使用。在Qi標準V1.1中,增加了異物偵測(FOD)功能。

圖5:基本系統。
(1)電力發射機
在WPC標準中,有三種電力發射機類型:引導定位、移動線圈自由定位及線圈矩陣自由定位,如圖6所示。

圖6:三種電力發射機定位類型。
對于引導定位,接收線圈中心必須與發射線圈中心對準。否則,傳輸電源和傳輸效率均將顯著降低。因此,發射線圈和接收線圈使用兩個磁體對齊并匯聚磁力線。
自由定位發射機是一款很好的發射機類型,因為它可讓一般使用者的無線充電更加便捷。有兩個子類型來實現這一功能。一個是移動發射線圈,另一個是發射線圈矩陣。在第一類型中,當接收機位于發射機表面上時,發射機移動線圈以對齊接收線圈,然后進行電力傳輸。在第二類型中,發射線圈由線圈矩陣形成。當接收機位于發射機上時,接收線圈周圍的一個或多個線圈將被啟動,并將電力傳輸到接收機。
電力發射機有一個直流-交流區塊。例如,一個半橋被連接到一個串聯諧振電路。對于不同的發射機,Cp和Lp參數及輸入電壓會有所不同。直流-交流切換開關的操作頻率在110 KHz時正常,但有可能會變化至205 KHz以進行電力控制。諧振回路也用于優化電力傳輸。
電力發射機還有一個通訊區塊,用于解調從接收機收到的電力傳輸控制信息。該通訊區塊由電壓或電流感測電路形成。
(2)電力接收機
電力接收機通常是一款便攜設備,其硬件設計比發射機更加簡化。它通常包括四個部份:電力拾取區塊、全橋整流電路、電壓調節區塊和通訊控制區塊。
電力拾取區塊由包含一個接收線圈(Ls)和一個串聯諧振電容(Cs)的串聯諧振電路組成。諧振回路用于優化電力接收。平行電容提供一個平行諧振電路,用于偵測接收機。
全橋整流器用作交流至直流轉換電路,該電路將接收到的波轉換成穩定電壓。電壓調節區塊是一條直流-直流電路,用于將接收到的較高電壓轉換為負載所需的電壓。通訊控制區塊用于到電力發射機的傳輸電力控制信息(例如,控制錯誤包),以調整電力發射機的電力傳輸操作點或其他狀態。
(3)通訊
根據WPC標準,發射機和接收機之間的通訊是單向通訊。通訊方向是從接收機到發射機。電力接收機通過變更阻抗(例如,電阻或電容)調整功率量,此操作會引起發射線圈電流或線圈電壓的周期性變化。發射機可偵測用于解調通訊信息的線圈電流或線圈電壓的變化。該標準定義了邏輯高電平和邏輯低電平之間發射線圈電流或線圈電壓振幅的最小振幅差,分別為15mA和200mV.
WPC標準還定義了通訊中的數據格式。在每次數據傳輸中,將傳輸一個數據報。數據報由一個位同步前導碼(>11位1)、一個表示數據報類型的字節訊息頭、訊息信息(1…… 27個字節)和一個總合檢查字節組成。一個數據字節是一個11位串行格式。此格式由1位起始位、8個數據位、1個奇偶校驗位和1位停止字節成。起始位是一個0.數據位的順序是最低位最先。奇偶校驗位是奇數,停止位是一個1.數據位按差分雙相代碼格式編碼,且其速度為2Kbps.數據格式如圖7所示。

圖7:數據格式。
(4)電力傳輸系統控制從電力發射機到電力接收機的電力傳輸包括WPC標準所定義的四個階段,分別是選擇階段、Ping測試階段、識別和組態階段以及電力傳輸階段。各階段之間的關系如圖8所示。

圖8:系統控制流程。
[page] A.選擇
在此階段中,電力發射機檢測其表面物體的放置或移除情況。電力發射機可通過多種方法實現這個功能。如果電力發射機偵測到一個或多個物體,它將嘗試定位這些物體并區分潛在的電力接收機和異物。在一些情況下,電力發射機應嘗試選擇一個原電池和一個電力接收機,用于電力傳輸。如果電力發射機選擇一個原電池和一個電力接收機,它應進入ping測試階段。另一方面,如果電力發射機無法識別潛在的電力接收機或逾時,它將進入操作的待命模式。
B. Ping測試
在ping測試階段,電力發射機應執行一次數字訊號ping測試,檢查潛在的電力接收機是否為電力接收機或該接收機是否需要電力傳輸。因此,電力發射機在65ms的最大時期內在初級線圈提供電力。電力接收機必須在該時間內通過負載調變的方式進行回復。完成ping測試階段后,系統將進入下一階段,即識別和組態階段。如果沒有完成ping測試階段,系統將返回前一階段,即:選擇階段。
C.識別和組態
在識別和組態階段中,電力發射機將識別電力接收機,且電力接收機將傳輸組態信息,如電力接收機的基本裝置標識符、電力接收機期望提供到整流器輸出端的最大功率量以及提供到電力發射機的最大功率量。電力發射機接收此信息,并調整工作點,然后進入電力傳輸階段。如果電力發射機不能從電力接收機處正確接收識別和組態信息,無論何種原因,如電力接收機可能沒有發送數據報或電力發射機可能沒有解調所需信息,電力發射機都將返回到前一階段,即:選擇階段。
D.電力傳輸
在電力傳輸階段,電力發射機將向電力接收機提供連續電力,并調整電力傳輸工作點,以響應從電力接收機收到的控制數據。在電力傳輸階段,電力發射機應監測電力傳輸參數。如果任何參數超出限定值,它將中斷電力傳輸并返回到選擇階段。最后,電力發射機從電力接收機處收到結束傳輸包時將結束電力傳輸。例如,當電池充滿時,電力接收機不需要再對電池充電。此時,它應發送結束電力傳輸包信息到電力發射機,以結束電力傳輸。然后,系統將返回到選擇階段。系統將保持在前三個階段,直到新的電力接收機放置于電力發射機上或組態信息變更。
分立式無線充電器解決方案
我們可以使用一些分立式裝置輕松設計出符合上述Qi標準的無線充電器系統。圖9顯示了無線充電器分立式解決方案之一。

圖9.分立式無線充電器解決方案。
在發射機側,微控制器單元(MCU)用于控制整個發射機的功能。該MCU產生一個脈寬調變(PWM)波來驅動閘極驅動器。PWM的頻率和占空比由MCU控制。MCU根據從接收機收到的錯誤控制包控制這兩個參數。FAN73932是一款半橋閘極驅動器,它把收到的矩形波轉換成兩個非重迭訊號,以驅動低端和高端MOSFET產品。直流-交流功能通過該裝置和兩個N信道MOSFET產品實現。發射線圈由交流波驅動。串聯電容用于形成一個帶有發射線圈的串聯諧振電路,以實現更好的電力傳輸性能。可通過這種方式傳輸電力。
FAN8303是一個為MCU電源提供5V電壓的直流-直流轉換器。其他部分用于通訊。電容用于捕捉來自線圈的電壓,并將該電壓送到MCU ADC,以獲取通訊信息。我們也可使用一個感應電阻和一個電壓放大器,以檢查發射線圈的電流變化。
在接收機側,也使用一個MCU來控制接收機的所有動作。帶有接收線圈的串聯諧振電路由一個電容形成。當接收線圈位于發射線圈上時,可以在該串聯諧振電路末端獲得交流電壓。交流-直流功能通過具有兩個N信道MOSFET產品和兩個二極管的全橋整流器實現。直流電壓在該電路輸出端實現。該電壓可通過穩壓電容實現穩定。此電壓通過直流-直流轉換器(FAN8303)實現轉換,并在FAN8303裝置的輸出端可獲得用于MCU電源的5V穩定電壓。當MCU上電時,它控制兩個MOSFET產品與發射機進行通訊。整個無線系統通過這種方式進行組態。完成正確組態后,MCU將打開輸出開關。輸出電壓也可用于為便攜設備充電。充電電流和輸出電壓由MCU監測,以獲知何時需要結束充電。
在軟件方面,圖10顯示了無線充電器發射機和接收機的簡要流程圖。

圖10:軟件流程圖。
通過這種無線充電器系統,系統可獲得效率約為69%的5W充電電源。
相關閱讀:
深度挖掘無線充電,這些盲點你必須知道!
無線充電要想普及,必須攻克的“三大難點”
無線充電各種原理和方案的比較




