【導讀】開關電源和Class D功放,因為電路工作在開關狀態,大大降低了電路的功率損耗,在當今的電子產品中得到了廣泛的應用。由于寄生電感和寄生電容的存在,電路的PWM開關波形在跳變時,常常伴隨著振鈴現象。這些振鈴常常會帶來令人煩惱的EMC問題。本文對振鈴進行探討,并采用snubber電路對PWM開關信號上的振鈴進行抑制。
振鈴現象
在開關電源和Class D功放電路中,振鈴大多是由電路的寄生電感和寄生電容引起的。寄生電感和寄生電容構成LC諧振電路。 LC諧振電路常常用兩個參數來描述其諧振特性:振蕩頻率(
),品質因數(Q值)。諧振頻率由電感量和電容量決定:
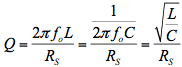
。品質因數可以定義為諧振電路在一個周期內儲存能量與消耗能量之比。并聯諧振電路的Q值為:
,其中RP是并聯諧振電路的等效并聯電阻。串聯諧振電路的Q值為:
,其中RS為串聯諧振電路的等效串聯電阻。




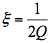
在描述LC電路的階躍跳變時,常用阻尼系數(
)來描述電路特性。阻尼系數跟品質因數的關系是:
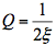
或
。在臨界阻尼(
=1)時,階躍信號能在最短時間內跳變到終值,而不伴隨振鈴。在欠阻尼(
<1)時,階躍信號在跳變時會伴隨振鈴。在過阻尼(
>1)時,階躍信號跳變時不伴隨振鈴,但穩定到終值需要花費比較長的時間。在圖一中,藍,紅,綠三條曲線分別為欠阻尼(
<1),臨界阻尼(
=1),過阻尼(
>1)時,對應的階躍波形。










圖一 不同阻尼系數對應的階躍信號(從左至右分別為欠阻尼,臨界阻尼,過阻尼時對應的階躍信號)
我們容易得到并聯LC諧振電路的阻尼系數:
。在我們不改變電路的寄生電感和寄生電容值時,調整等效并聯電阻可以改變諧振電路的阻尼系數,從而控制電路的振鈴。

階躍信號因振鈴引起的過沖跟阻尼系數有對應的關系:
。OS(%)定義為過沖量的幅度跟信號幅度的比值,以百分比表示。表一列出了不同阻尼系數對應的過沖OS(%)。


圖二 過沖圖示

表一: 不同阻尼系數對應的過沖OS(%)
振鈴的危害
對于振鈴,我們直觀感受到的是示波器屏幕上的電壓的波動。實際帶來問題的通常是電路的電流的諧振。在圖三所示的電路里面,當PWM開關信號V1在0V和12V切換時,流過電感L1和電容C1的諧振電流可以達到安培量級,如圖四所示。在高頻(圖三所示電路的諧振頻率為232MHz,開關電源和Class D電路里常見的振鈴頻率在幾十兆到幾百兆Hz之間),安培量級的電流,通過很小的回路,都可能造成輻射超標,使產品無法通過EMC認證。
注:10米處電場強度計算公式為:121212,單位為伏特/米。其中f為電流的頻率(MHz),A為電流的環路面積(CM2 ),Is為電流幅度(mA)。

圖三 LC諧振電路

圖四 電容C1兩端的電壓和流過電容C1的諧振電流
避免測量引入的振鈴
為了提高電路的效率,開關電源和Class D功放的PWM開關信號的上升/下降時間都比較短,常常在10ns量級。測量這樣的快速切換信號,需要考慮到示波器探頭,特別是探頭的接地線對測量結果的影響。在圖五的測量方法中,示波器探頭的地線過長,跟探頭尖端的探針構成很大的回路。捕獲到的信號出現了很大的振鈴,如圖六所示。

圖五 示波器探頭上長的地線會影響PWM開關信號的測量結果

圖六 圖五測量方法對應的測試結果
為了降低示波器探頭對測量結果的影響,我們在電路板上焊接測量接地探針,并去除示波器探頭上的地線,如圖七所示。通過這種方法,我們可以大大降低示波器探頭地線對測量引入的振鈴。圖八是使用這種方法捕獲到的PWM開關信號的前后沿波形。

圖七 通過在PCB上焊接接地點改善測量結果

圖 八 圖七測量試方法對應的測試結果
開關電源和Class D功放電路中的諧振電路
在開關電源和Class D功放電路中,芯片退耦電容到芯片電源引腳之間的PCB走線,芯片電源引腳到內部硅片之間的邦定線可以等效成一個寄生電感。在功率MOSFET截止時,功率MOSFET電極之間的電容 (Cgs,Cgd,Cds) 可等效成一個寄生電容。如圖九所示。這些寄生電感和寄生電容構成了LC諧振電路。圖九中的高端MOSFET導通,低端MOSFET截止時,可以等效成圖十所示的LC諧振電路。為了提高電路的效率,當今芯片內部集成的功率MOSFET的
都做得比較小,常常在幾十毫歐到幾百毫歐之間。這意味著諧振電路的阻尼系數可能很小。造成的結果是在PWM開關切換時,伴隨著比較大的振鈴。


圖九 開關電源和D類功放電路里的寄生電感和電容

圖十 圖九中高端MOSFET導通,低端MOSFET截止時的等效電路
利用Snubber抑制振鈴
上面對LC諧振電路的振鈴做了介紹。下面介紹利用snubber電路對振鈴進行抑制。如圖十一中虛線框內的電路所示,Snubber電路由一個小阻值的電阻
和一個電容
串聯構成。其中電阻
用來調節LC諧振電路的阻尼系數。電容
在振鈴頻率(即LC諧振頻率)處呈現很低的容抗,近似于短路。在PWM開關頻率又呈現出較高的容抗。如果沒有電容
的存在,PWM信號會一直加在電阻
兩端,電阻
會消耗過多的能量。







下面給
選取合適的電阻值,讓PWM開關信號能快速穩定到終值,而又不產生振鈴(臨界阻尼)。我們以圖十一的電路為例。其中L1是電路的寄生電感,C1是電路的寄生電容, 是電路的等效并聯電阻。



圖十一 snubber電路
整理得到:

用snubber改善振鈴實例
下面以一個實例介紹snubber電路元件值的選取。圖十二a 是一款降壓DC-DC在PWM開關引腳處測到的波形。在PWM信號開關時,伴隨著振鈴現象。通過示波器測量到的振鈴頻率為215.5MHz。我們可以構建第一個方程:


為了得到L1和C1的值,我們需要構建另外一個方程。我們給電容C1并聯一個小電容:在PWM引腳臨時對地焊接一個56pF的電容。這時,振鈴頻率變為146.2MHz,如圖十二b。據此,我們構建另一個方程:

通過上面兩個方程,可以很快計算出C1=47.7pF,L1=11.4nH。
然后,我們根據過沖量來計算等效并聯電阻
。從圖十三讀出過沖OS(%)為28%,對應的阻尼系數(
)值為0.37。
,得到





十三 階躍信號過沖
我們得到了電路的L1,C1和
的值,帶入我們前面得到的公式
,計算得到
。可以選取18歐姆的電阻。



電容
的選擇:
元件值的選取原則是,在LC諧振頻率(振鈴頻率)處,容抗要遠小于
的阻值。對PWM開關信號,又要呈現出足夠高的容抗。圖十四是
采用560pF的電容,
采用18歐姆電阻時,PWM開關信號的前沿波形。對比圖十二a中的波形,振鈴得到了很大的改善。






圖十四 加入snubber電路后的PWM前沿波形
Snubber電路的能量消耗
Snubber電路中能量消耗在電阻
上,而能量消耗的多少又取決于電容
的容量,跟電阻
的值無關。這是因為:PWM信號給電容
充電時,電路給snubber電路提供的能量為
,而電容只得到了其中的一半(
),另一半被
消耗掉。改變
的電阻值,只是改變了電容充電的速度和
消耗能量的速度,而不改變充電一次
所消耗的總能量。
放電時,電容儲存的能量被
消耗。
在一個PWM開關周期的能量消耗為
。
功率消耗為:
,其中
為PWM開關頻率,V為snubber兩端的電壓幅度峰峰值。

















有些應用場合對電路的效率有很高的要求,對snubber電路消耗的功率也需要進行限制。遇到這種情況,可以適當調整snubber電路的元件值,在PWM信號的振鈴和功率消耗之間取得平衡。
降低snubber功耗的另外一個有效辦法是降低電路的寄生電感:把退耦電容盡量靠近芯片放置,加粗退耦電容到芯片之間PCB走線的寬度。從前面提到的公式(
)可以看出,降低了寄生電感L1,在其他電路參數不改變的情況下,要保持同樣的阻尼系數,需要更小的電阻值。同時,寄生電感降低后,電路的振鈴頻率會提高。這都允許我們選用更小容值的
電容,從而可以降低snubber電路引入的功率損耗。


總結
我們討論了開關電源和Class D功放電路里PWM信號的振鈴現象,振鈴帶來的危害,振鈴引起的過沖和電路的阻尼系數的對應關系。然后介紹了如何用snubber對振鈴進行抑制。最后通過一個實例介紹了snubber電路里元件值的選取。在介紹過程中,引入了一些簡單的數學公式。這些數學公式有助于加深我們對概念的理解。
參考文獻
“Radio-Frequency Electronics Circuits and Applications” by Jon B. Hagen
“EMC for Product Designers” Forth Edition by Tim Williams
“基于運算放大器和模擬集成電路的電路設計 (第3版) ” Sergio Franco 著,劉樹棠 朱茂林 榮玫 譯
本文來源于Maxim 。
推薦閱讀: