【導讀】一般而言,與低壓差(LDO)穩壓器輸出相比,人們認為傳統開關穩壓器的輸出電壓噪聲很大。然而,LDO電壓會引起嚴重的額外熱問題,并使得電源設計更加復雜。全面認識開關穩壓器噪聲很有必要,有助于設計低噪聲開關解決方案,使之產生與LDO穩壓器相當的低噪聲性能。
本文分析和評估的目標是采用電流模式控制的降壓穩壓器,因為它在應用中最常用。信號分析是了解開關紋波噪聲、當前寬帶噪聲特性(及其來源)、開關引起的高頻尖峰噪聲的主要法。本文將討論開關穩壓器PSRR(電源抑制比,其對輸入噪聲抑制很重要)以及信號分析方法。
開關紋波噪聲
本部分依據基波和諧波理論介紹降壓轉換器輸出紋波計算公式。根據開關穩壓器拓撲結構和基本操作,紋波始終是開關穩壓器中的主要噪聲,因為峰峰值電壓幅度一般為幾mV到幾十mV。它應被視為周期性且可預測的信號。如果以固定開關頻率工作,則在時域中通過示波器,或在頻域中通過傅立葉分解,很容易將其識別并進行測量。
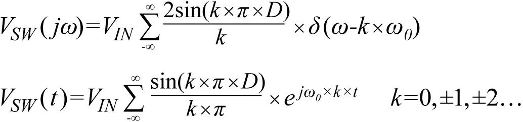
圖1所示為典型的降壓穩壓器。兩個開關交替接通和斷開,因此SW節點電壓VSW是一個理想的方波,此特性進而傳遞到占空比和輸入電壓。VSWVSW可以用下面的公式表示:


圖1. 降壓穩壓器拓撲
其中:
VIN為輸入電壓。D為占空比;對于降壓穩壓器,其等于 VOUT/VIN
VIN 確定后,The VSW基波和諧波成分僅取決于占空比。圖2顯示了與占空比相關的 VSW基波和諧波幅度。當占空比接近一半時,紋波幅度以基波為主。

圖2. 降壓穩壓器 VSWW幅度與占空比的關系
降壓穩壓器輸出LC級傳遞函數如下:

其中,L為輸出電感值,DCR為電感電阻值,CL為電感并聯電容值。
COUT為輸出容量值。ESL為電容串聯電感值。ESR為電容串聯電阻值。
因此,VOUT可表示如下:
為了簡化計算,我們假設輸出LC級為20 dB/十倍頻程,然后是與占空比相關的VOUT紋波基波和諧波幅度,如圖3所示。當占空比接近一半時,三次或奇數次諧波將高于偶數次諧波。由于LC抑制,較高的諧波將具有較低的幅度,并且與總紋波幅度相比,其比例非常小。同樣,基波幅度是開關穩壓器輸出紋波中的主要成分。

圖3. 降壓穩壓器VOUT紋波幅度與占空比的關系
對于降壓穩壓器,基波幅度與輸入電壓、占空比、開關頻率和LC級有關;但是,所有這些參數都會影響應用要求,如效率和解決方案尺寸等。為了進一步降低紋波,建議增加后置濾波器。
寬帶噪聲
開關穩壓器中的寬帶噪聲是輸出電壓上的隨機幅度噪聲。它可以用整個頻率范圍內的噪聲密度來表示,單位為 V/√Hz z,或用Vrms來表示,其與頻率范圍內的密度不可分。由于硅工藝和基準電壓源濾波器設計的限制,寬帶噪聲主要位于開關穩壓器的10Hz至1MHz頻率范圍內,在低頻范圍內很難通過增加濾波器來將其降低。
典型降壓穩壓器寬帶噪聲峰峰值幅度電壓約為100μV至1000μV,遠低于開關紋波噪聲。如果使用額外的濾波器來降低開關紋波噪聲,則寬帶噪聲可能成為開關穩壓器輸出電壓的主要噪聲。圖4顯示了當沒有額外濾波器時,降壓穩壓器輸出噪聲的主要來源是開關紋波。圖5顯示了當使用額外濾波器時,輸出噪聲的主要來源是寬帶噪聲。

圖4. 無額外濾波器的VOUT

圖5. 有額外濾波器的VOUT(使用1000倍前置放大器進行測量)
為了識別和分析開關穩壓器輸出寬帶噪聲,必須獲得穩壓器控制方案和模塊噪聲信息。例如,圖6顯示了典型的電流模式降壓穩壓器控制方案和模塊噪聲源注入。

圖6. 典型電流模式降壓穩壓器控制方案
對于獲得的控制環路傳遞函數和模塊噪聲特性信息,有兩種不同的噪聲:環路輸入噪聲和環內噪聲。控制環路帶寬內的環路輸入噪聲會傳輸到輸出,而環路帶寬之外的噪聲會被衰減。對于開關穩壓器,設計低噪聲EA和基準電壓源至關重要,因為單位反饋增益會保持噪聲水平不變,而不是隨著輸出電壓電平增加而提高它。最大的挑戰是找出整個系統中最大的噪聲源,并在電路設計中降低該噪聲。ADP5014針對低噪聲技術進行了優化,采用電流模式控制方案和一個簡單的LC外部濾波器,在10Hz至1MHz頻率范圍內實現了低于20μVrms的噪聲性能。ADP5014的輸出噪聲性能如圖7所示。

圖7. 采用額外LC濾波器的ADP5014輸出噪聲性能。
高頻尖峰和振鈴
第三類噪聲是高頻尖峰和振鈴噪聲,因為輸出電壓是由開關穩壓器導通或關斷瞬變產生的。考慮硅電路和PCB走線中的寄生電感和電容;對于降壓穩壓器,快速電流瞬變將在SW節點處引起高頻電壓尖峰和振鈴。尖峰和振鈴噪聲會隨著電流負載的提高而提高。圖8顯示了降壓穩壓器如何形成尖峰。根據開關穩壓器的導通/關斷壓擺率,最高尖峰和振鈴頻率將在20MHz至300MHz范圍內,受寄生電感和電容影響,輸出LC濾波器在抑制方面可能不是非常有效。與上述關于傳導路徑的所有討論相比,最差的是來自SW和VIN節點的輻射噪聲,由于其頻率非常高,輸出電壓和其他模擬電路會受到影響。

圖8. 降壓穩壓器高頻尖峰和振鈴噪聲
為了降低高頻尖峰和振鈴噪聲,建議采用有效方法實施應用和芯片設計。首先,在終端負載上應使用額外的LC濾波器或磁珠。通常,這會使輸出上的尖峰噪聲遠小于紋波噪聲,但會增加更高頻率的成分。其次,應屏蔽SW和輸入節點的噪聲源或讓其遠離輸出側及敏感模擬電路,并且屏蔽輸出電感。精心布局和布線對設計很重要。第三,優化開關穩壓器的導通/關斷壓擺率,并盡量減小開關穩壓器的寄生電感和電阻,從而有效降低SW節點噪聲。ADISilentSwitchr®技術也有助于通過芯片設計降低VIN節點噪聲。
開關穩壓器PSRR
PSRR反映開關穩壓器抑制輸入電源噪聲傳輸到輸出的能力。本部分分析低頻范圍內的降壓穩壓器PSRR性能。高頻噪聲影響輸出電壓主要是通過輻射路徑,而不是通過前面討論的傳導路徑。
根據圖9所示的降壓小信號圖,降壓PSRR可以表示如下:


圖9. 從輸入電壓到輸出的電流模式降壓小信號圖。
其中:
將信號模式計算與仿真結果進行比較。小信號模式是有效的,與仿真結果一致。
T開關穩壓器的PSRR性能取決于低頻范圍內的環路增益性能。開關穩壓器的固有LC濾波器可以抑制中頻范圍(100Hz至10MHz)內的輸入噪聲。此范圍內的抑制性能比LDO PSRR好得多。因此,開關穩壓器具有理想的PSRR性能,因為其在低頻時具有高環路增益,而固有LC濾波器會影響中頻范圍。

圖10. 采用降壓小信號模式的PSRR計算結果

圖11. SIMPLIS模式的PSRR仿真
結論
越來越多的模擬電路,如ADC/DAC、時鐘和PLL等,需要干凈的能提供高電流的電源。每個器件對不同頻率范圍內的電源噪聲都有不同的要求和規格。有必要全面了解不同類型的開關穩壓器噪聲并認知電源噪聲要求,從而設計和實現高效率、低噪聲開關穩壓器,以滿足大多數模擬電路電源的低噪聲規格。與LDO穩壓器相比,這種低噪聲開關解決方案將有更高的功效比、更小的解決方案尺寸和更低的成本。
推薦閱讀:



