【導讀】電壓控制型電流源(VCCs)廣泛用于醫療器械、工業自動化等眾多領域。VCCs 的直流精度、交流性能和驅動能力在這些應用中至關重要。本文分析了增強型 Howland 電流源(EHCS)電路的局限性,并闡述了如何利用復合放大器拓撲進行改進,以實現高精度、快速建立的±500 mA電流源。
電壓控制型電流源(VCCs)廣泛用于醫療器械、工業自動化等眾多領域。VCCs 的直流精度、交流性能和驅動能力在這些應用中至關重要。本文分析了增強型 Howland 電流源(EHCS)電路的局限性,并闡述了如何利用復合放大器拓撲進行改進,以實現高精度、快速建立的±500 mA電流源。
增強型Howland電流源
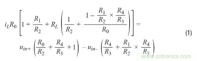
圖1所示為傳統的Howland電流源(HCS)電路,而公式1顯示了如何計算輸出電流。如果R2足夠大,輸出電流將保持恒定。
圖1.Howland電流源電路

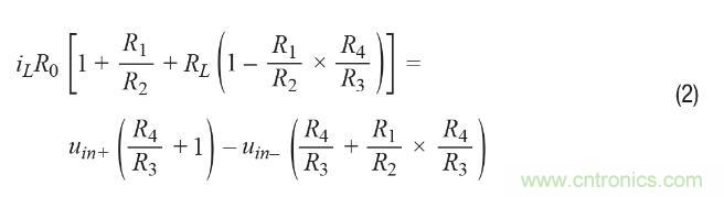
雖然較大的R2會降低電路速度與精度,但在反饋路由中插入一個緩沖器,形成一個增強型Howland電流源可以解決這一問題,如圖2所示。所有通過R0的電流都流入RL。輸出電流由公式2計算。

圖2.增強型 Howland 電流源電路。

如果R1/R2 = R3/R4 = k,則該公式變為公式3。輸出電流與負載無關,僅受輸入電壓控制。這是一個理想的VCCS。

性能分析
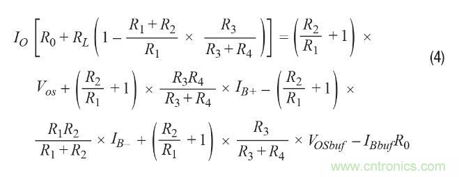
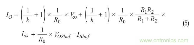
公式3基于一個理想系統。圖3顯示了EHCS的直流誤差分析模型。VOS和IB+/IB–是主放大器的輸入失調電壓和偏置電流。VOSbuf和IBbuf是緩沖器的輸入失調電壓和偏置電流。總輸出誤差可以通過公式4計算。

圖3.失調電壓計算。

忽略增益電阻的不匹配,并考慮R1/R2 = R3/R4= k,R1//R2= R3//R4。輸出失調電流取決于放大器的失調和偏置電流,如公式5所示。

考慮R1/R2和R3/R4的不匹配,RL將會影響輸出失調電流。最差相對誤差如公式6所示。這個誤差取決于RL/R0和k。減小負載電阻并提高k將減少失調誤差。

我們還可以計算電路的溫度漂移,它來自放大器和電阻。放大器的失調電壓和偏置電流隨工作溫度而變化。對于大多數CMOS輸入放大器而言,溫度每升高10℃,偏置電流便增加一倍。不同類型電阻的漂移變化很大。例如,碳膜電阻的TC約為1500 ppm/℃,而金屬膜和體金屬電阻的TC可能是1 ppm/℃。
選擇精密放大器有利于輸出電流的直流精度。然而,精密放大器的選擇也存在許多局限性。其驅動能力和交流性能都不夠好。表1列出了一些常見的精密放大器。

表1.精密放大器參數
我們希望構建一個±500 mA的電流源,建立時間為1 μs。對于電流源,我們需要高驅動能力。對于還要具有快速建立時間的電流源,我們需要出色的交流性能。一般來說,精密放大器無法提供這兩個規范的組合,因為其壓擺率和帶寬不夠好。這需要從其他類型的放大器中進行選擇。
EHCS 實現
ADA4870 是一款高速、高電壓、高驅動能力的放大器。它可提供10 V至40 V電壓,輸出電流限制為1.2 A。大信號下的帶寬超過52 MHz和壓擺率高達2500 V/μs。所有這些規格使它很適合快速建立和大電流源。圖4顯示了基于ADA4870的EHCS電路,它通過10 V輸入可生成一個±500 mA輸出電流源。

圖4. 基于ADA4870的EHCS電路。
在交流規格中,我們更關心建立時間、壓擺率、帶寬和噪聲。如圖5 所示,建立時間約為60 ns,帶寬約為18 MHz。輸出電流壓擺率可以 通過測量上升階段和下降階段的斜率來計算。正負壓擺率分別為 +25 A/μs和–25 A/μs。輸出噪聲密度曲線顯示了噪聲性能,在1 kHz時 大約為24 nV/√Hz。

圖5. 基于ADA4870的EHCS建立時間和頻率響應。

圖6. 基于ADA4870的EHCS輸出噪聲密度曲線。
由于輸入失調電壓和偏置電流較大,該電路的直流精度不高。表2顯示了不同的直流誤差源與貢獻。主要的直流誤差來自ADA4870的Vos和IB。典型輸出電流失調約為11.06 mA,這相當于500 mA全程時2.21%左右的誤差范圍。

表2. 基于ADA4870的EHCS直流誤差
復合放大器技術
ADA4870這樣的高驅動放大器的直流參數限制了輸出電流的精度,而高精度放大器的速度又不夠。為此,我們可以利用復合放大器技術在單個電路中集成所有這些特性。圖7所示為一個復合放大器增強型Howland電流源(CAEHCS),它由ADA4870和ADA4898-2組成。

圖7.復合放大器EHCS電路。
選擇ADA4898-2構成復合放大器是因為它具有出色的交流和直流性能。其-3 dB帶寬為63 MHz。它在輸出階躍為5 V時的0.1%建立時間為90ns,壓擺率可達55 V/µs。它還具有超低噪聲。電壓噪聲密度為0.9 nV/√Hz,電流噪聲密度為2.4 pA/√Hz。至于直流規格參數,它的性能表現也很好。典型輸入失調電壓為20 µV,溫度漂移為1 µV/°C。偏置電流為0.1 µA。表3顯示了CAEHCS的直流誤差。輸出電流失調降低至0.121 mA,這意味著誤差范圍在0.03%以下。

表3.基于ADA4898的CAEHCS直流誤差
CAEHCS的交流性能如表4所示。由于復合放大器的環路延遲,其建立時間和帶寬均低于EHCS。由于ADA4898-2的電流噪聲低,因此CAEHCS的輸出噪聲遠低于EHCS的輸出噪聲。如數據手冊中所標明的,ADA4870的反向輸入電流噪聲密度為47 pA/√Hz。通過使用幾個kΩ級阻值的電阻,它將產生比電壓噪聲(2.1 nV/√Hz)高很多的噪聲。然而,CAEHCS中的輸入電流噪聲密度為2.4pA/√Hz。它產生的輸出噪聲要低很多。

表4.CAEHCS的交流規格
首先,CAEHCS大大提高了VCCS的直流精度,并具有同等驅動能力和交流性能。此外,可供選擇的復合放大器產品很多,以滿足不同的需求。表5顯示了CAEHCS電路中不同放大器的性能。LT6275的交流性能最好。它的建立時間可達100 ns以內,壓擺率高達15 A/µs。ADA4522-2等零漂移放大器非常適合輸出電流失調誤差約為0.002 mA的高精度應用。

表5.CAEHCS中主放大器的選擇
測試結果
基于ADA4898的EHCS和CATHCS的性能如表6和圖8所示。

表6.EHCS與CAEHCS的比較

圖8.ADA4898-2(CH1-輸入、CH2-輸出)的建立時間。
CAEHCS電路具有比EHCS電路好很多的直流規格。其輸出電流失調為0.2 mA,而EHCS電路的輸出電流失調為10.9 mA。CAEHCS電路也具有很好的交流規格。兩者的建立時間均為100 ns。EHCS電路的帶寬為18 MHz,而CAEHCS電路的帶寬為8 MHz。
基于ADA4522-2和LT6275的CAEHCS性能如表7所示。

表7.CAEHCS中不同主放大器的測試結果
ADA4522-2版本的輸出失調誤差更低,低至0.04 mA。LT6275的建立時間約為60 ns,輸出電流壓擺率高達16.6A/µs(如圖9所示)。

圖9.LT6275(CH1-輸入、CH2-輸出)的建立時間。
散熱考慮
VCCS的輸出電流可以達到幾百毫安。整體功耗可達幾瓦。如果輸出效率不高,器件的溫度將快速上升。ADA4870不使用散熱器時的熱阻(θJA)為15.95℃/W。溫升可采用公式7計算。

R0的取值將影響ADA4870的功耗。表8顯示了在±20 V電源電壓下選擇不同R0值的溫升。當選用較大的R0時,溫升會大大降低。因此,建議使用較大的R0以降低溫升。

表8.ADA4870的功耗和溫升與R0的關系(Io = 500 mA)
結論
CAEHCS電路將高驅動放大器和高精度放大器相結合,可在VCCS應用中提供出色的交流和直流性能以及大輸出容量。建議在此電路中將 ADA4870 與 ADA4898、LT6275和ADA4522結合使用。

(來源:亞德諾半導體)
免責聲明:本文為轉載文章,轉載此文目的在于傳遞更多信息,版權歸原作者所有。本文所用視頻、圖片、文字如涉及作品版權問題,請聯系小編進行處理。



