【導讀】有時候您需要正電源,但大部分可用的供電軌(或僅有的可用供電軌)提供的都是負電源。事實上,負到正電壓轉換已用于汽車電子,以及各種音頻放大器、工業和測試設備的偏置電路中。雖然在許多系統中是電源通過相對于地的負供電軌分配,但這些系統中的邏輯板、ADC、DAC、傳感器和類似器件仍然需要一個或多個正供電軌。本文介紹一種簡單高效且組件數量少的電路,用于從負供電軌生成正電壓。
電路描述和電驅動系統功能
圖1顯示將負電壓高效轉化為正電壓的完整解決方案。這種特定的解決方案使用升壓拓撲。電驅動系統包括開關MOSFET、底部Q1、頂部Q2、電感L1和輸入/輸出濾波器。同步高效升壓控制器IC通過改變電驅動系統中開關MOSFET的狀態來調節輸出電壓。為了描述這種電路,將系統接地(SYS_GND)用作極性參考,得到一個相對于SYS_GND為負的輸入供電軌(–VIN)和一個相對于SYS_GND為正的輸出供電軌(+VOUT)。
轉換器的工作方式如下。如果晶體管Q1開啟,電流從SYS_GND流向負供電軌。晶體管Q2關閉,電感L1將電能存儲在其磁場中。在開關周期的剩余時間里,Q1關閉,Q2開啟,電流開始從SYS_GND流向+VOUT供電軌,將L1電能釋放給負載。

圖1.負正轉換器電氣原理圖,VIN為–6 V至–18 V(峰值為–24 V),6 A時VOUT為+12 V。
電驅動系統組件選擇的基本表達
圖2所示的開關行為拓撲關系圖描述了負正轉換器的行為。在開關周期的首個區間,在占空比定義的時長內,底部開關BSW短路,頂部開關TSW斷開。電感電壓L等于–VIN。在此區間內,電感L中的電流增加,在電感兩端生成電壓極性匹配–VIN。與此同時,輸出濾波器電容放電,為系統負載提供電流。

圖2.負到正轉換器拓撲關系圖。
在周期的第二個區間,兩個開關切換,BSW斷開,TSW短路。電感L的極性改變,電感開始向負載和輸出濾波電容器COUT提供(在周期的第一個區間內儲存的)電流。在這段周期內,電感的電流相應降低。電感的伏秒平衡定義轉換器在連續導通模式下的占空比D。
計算時序和組件應力
以下是描述時序和電驅動系統組件應力的公式。
占空比決定開關的開/關時間

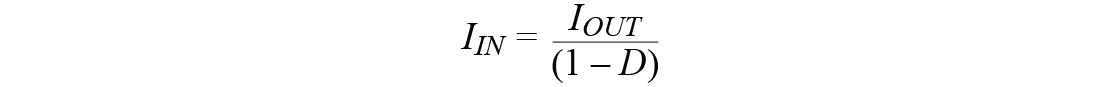
輸入電流IOUT的平均值就是輸入電流

電感電流的峰值

開關MOSFET上的電壓應力

通過底部MOSFET的平均電流

通過頂部MOSFET的平均電流

這些表達公式可以幫助您理解拓撲的功能,并初步選擇電驅動系統組件。關于最終選擇和詳細的設計,請使用LTspice®建模和模擬工具。1
轉換器控制描述和功能
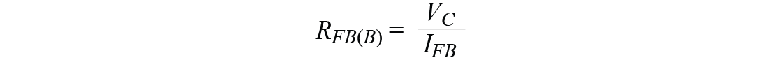
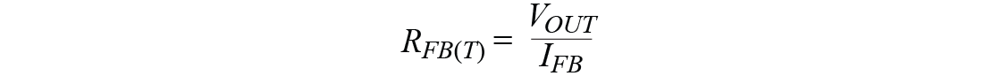
輸出電壓檢測和控制電壓的電平轉換通過由PNP晶體管Q3和Q4形成的電流鏡管控。反饋電流IFB在此電路中為1 mA)決定反饋回路中的電阻值。

其中VC為誤差放大器的基準電壓。

其中RFB(T)為輸出電壓檢測電阻。
圖1所示的反饋電路是一種低成本解決方案,但分立式晶體管的容差可能會受基極發射極電壓和溫度變化差值影響。為了提高精度,可以使用配對的晶體管。
轉換器電驅動系統由LTC7804升壓控制器管控。之所以選擇該芯片,是因為它支持同步整流,易于實現,可以提供高開關頻率操作(如果需要小尺寸電感)和低靜態電流,因而具有高效率。
測試結果和拓撲限制
此解決方案經過了仔細測試和驗證。圖3顯示在各種負載電流下都能保持高效率,達到96%。注意,隨著輸入電壓絕對值減小,輸入電流和電感電流增大。在某個點,電感電流可能會超過電感的最大電流或飽和電流。從圖4的降額曲線可以明顯看出。在–9 V到–18 V范圍內,最大負載電流為6 A,輸入電壓絕對值低于–9 V時,該值更小。圖6解決方案電路板的熱性能見圖5。

圖3.在自然對流冷卻情況下,VIN為–12 V和–18 V時的效率曲線。

圖4.輸入電壓絕對值低于–9 V時的輸出電流降額曲線。

圖5.在自然對流冷卻、沒有空氣流動的情況下,VIN為–12 V,VOUT為+12 V,電流為6 A時,轉換器的熱圖像。

圖6.轉換器照片。
結論
本文介紹一種非常高效且相對簡單的完整解決方案設計,通過使用升壓控制器可以為單極性負電源添加正電軌。文中提供了電氣原理圖,以及時序、功率轉換組件和電氣應力方面的計算。測試數據證實該系統具備高效率和出色的熱性能。此外,此解決方案采用升壓拓撲,因而設計人員可以選擇使用預認證的升壓控制器,從而節省開發時間和成本。而證實升壓控制器適用于負正電壓轉換器也預示著它適合未來的升壓應用。
推薦閱讀: