【導讀】我們習慣從電路圖和等效電路的角度來分析電子系統,但這種思路最終會遇到阻礙,我們必須考慮到實際電子系統的高頻特性。在實際的 PCB 中,電信號的傳播特性將在系統行為中發揮主導作用,其中包括像直流電源分配這種簡單的現象。直流電并非真正的直流電,會在 PCB 中激發強烈的諧振,由集成電路引入電路板的直流電更是如此。
本文要點:
在兩個導電平面之間傳播的電磁波會激發平行板波導諧振。
在 PCB 的電源分配網絡 (PDN) 中,平行平面結構內部會激發諧振,從而導致電路板邊緣出現強輻射。
這些諧振通常在 GHz 范圍內,在 PCB 中的 PDN 阻抗譜或帶有近場探頭的示波器上會有所顯示。
我們習慣從電路圖和等效電路的角度來分析電子系統,但這種思路最終會遇到阻礙,我們必須考慮到實際電子系統的高頻特性。在實際的 PCB 中,電信號的傳播特性將在系統行為中發揮主導作用,其中包括像直流電源分配這種簡單的現象。直流電并非真正的直流電,會在 PCB 中激發強烈的諧振,由集成電路引入電路板的直流電更是如此。
每塊高速 PCB 都有電源平面和接地平面,電磁波傳播會激發平面諧振。
PCB 中的電源平面和接地平面布置是整個電路板電源分配的基礎,它們需要為器件提供穩定的電源。實際上,任何電路板都會產生重要的瞬態效應,而電路板中的平面層結構作用很大,可以決定極高頻率下的輻射頻譜。這就是電源平面諧振分析的用武之地,該分析有助于了解 PDN 電路描述的局限性,也能幫助我們判斷在何時需要從波導行為的角度考慮平面布置。
1. 電源平面諧振分析
觀察一下 PCB 中 PDN 的阻抗圖就會發現,在高頻時會出現一些諧振行為。根據電路板的結構和尺寸,這些頻率一般在 GHz 范圍內,或者更高。當 PCB 中的電源平面和接地平面重疊時,它們所形成的結構會構成一個半開放的平行板波導,該波導具有一些明顯的諧振。下圖的示例展示了在 PCB 上測得的 PDN 阻抗譜,其中包括在高頻下可以看到的諧振。
在 PDN 輸入端測得的 PDN 阻抗譜示例,500 MHz 以上可見平面諧振。
PCB 中所有的實際電源平面布置都有一些諧振,這些諧振可通過結構中的電磁波傳播輻射而激發。PDN 中所有的諧振都可以通過考慮系統結構來計算,系統結構看起來與平行板波導非常相似。雖然我們可能會認為 PDN 的行為與平行板波導完全相同,但實際上我們得出的只是一個近似值;在 PCB 平面之間穿過該區域的所有其他導體都會改變諧振頻率,使其與平行板波導的計算值不同。此外,PDN 的有限跨度將決定結構中的諧振,從而將平行板波導諧振更改為空腔諧振。
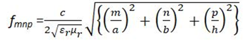
對于尺寸為 a 和 b 的電路板,電源平面和接地平面之間的間距為 h,則諧振頻率為:
一般空腔諧振器的諧振頻率,假設諧振器為矩形結構。
雖然上述公式并非普遍適用于每種 PDN 結構,但它為我們提供了最低階 PDN 諧振的近似值。最低階 PDN 阻抗的典型值從 100 MHz 到 1 GHz 以上不等,具體取決于電路板的尺寸和結構中平面之間的間距。
芯片也有自己的 PDN,因此按照邏輯推理,它也會表現出一些諧振,可能會被電路板電源軌上傳入的瞬態振蕩所激發。然而,由于芯片及其 PDN 的幾何形狀,情況并非如此(極高頻率下除外)。
2. 從電路板過渡到芯片
當電源的入射波撞擊到芯片上之后,芯片電源軌上測得的電壓將與電路板電源軌上測得的電壓大不相同。集成電路的電源軌與裸片上的接地平面之間的間距要小得多,因此電源平面諧振的頻率要高得多。
下圖是以三種不同方式測量 PDN 阻抗的仿真示例。藍色曲線顯示的是 CMOS 集成電路在芯片主電源軌上測量的典型 PDN 阻抗曲線。這是直接在裸片上測量的曲線類型,經過了任何無源調節部分;請注意,其中不包括因鍵合線或引線框架而產生的引腳封裝電感。將該曲線與電路板阻抗平行對比,假定電路板阻抗為強去耦,在 10 kHz 以上具有相對平坦的阻抗。紅色曲線表示這兩個阻抗的平行等效值。
芯片 + 電路板封裝的總阻抗(紅色曲線)。請注意,裸片上看不到高阻抗諧振。
在此示例中,總阻抗在約 100 MHz 處出現反諧振,但相對較弱,只有 1 歐姆左右。曲線的其余部分非常平坦,在低頻時與電路板的低阻抗部分重疊,在高頻時與芯片的 PDN 阻抗重疊。芯片 PDN 也存在高阻抗諧振/反諧振對,但頻率很高,在上述窗格中看不到。PDN 上芯片電容的存在也有助于使芯片上測得的總阻抗保持在較低水平。
舉個簡單的例子,我們可以比較電路板和芯片最低階波導模式的阻抗。在上述示例中,電路板的最低階諧振僅為 2 GHz;如果我們假設裸片上的電源軌到接地平面的距離僅比芯片尺寸約為 1 cm2 的 PCB 上的距離小 10 倍,那么芯片 PDN 中的最低階諧振將超過 20 GHz。不應使用電路模型來計算集成電路或電路板 PDN 這類復雜結構中的確切諧振頻率。此類諧振最好使用場求解器應用來確定,該應用可直接從物理 layout 中提取數據。
Cadence 的 PCB 設計和分析軟件可用于對電路板和電路行為進行仿真,將其作為電源平面諧振分析的一部分。然后,我們可以在任何建模應用中使用自己的數據來計算互譜密度和分析信號行為。
Cadence 的新一代 Sigrity X 解決方案重新定義了 SI 和 PI 分析,將性能提高了 10 倍,同時保持了 Sigrity工具一貫的準確性。Sigrity X 工具套件解決了當今 5G 通信、汽車、超大規模計算以及航空航天和國防工業領域前沿技術專家所面臨的系統級仿真的規模和可擴展性挑戰。它配備了強大的系統級分析仿真引擎,旗艦產品 Clarity 3D Solver 更采用了創新的大規模分布式架構。
本文轉載自:Cadence楷登PCB及封裝資源中心
免責聲明:本文為轉載文章,轉載此文目的在于傳遞更多信息,版權歸原作者所有。本文所用視頻、圖片、文字如涉及作品版權問題,請聯系小編進行處理。
推薦閱讀:
如何使用 SSR 實現可靠都的、可快速開關的低損耗半導體自動測試設備






