【導讀】基于納米發電機的高熵能源可以很好實現能源的供給。未來,在能源互聯網、智能電網、物聯網、互聯網、生物醫學、無線通信和無線傳感等領域,納米發電機都將有更廣泛應用。
準確測試提高高熵能源的開發轉化與利用
基于納米發電機的高熵能源可以很好實現能源的供給。未來,在能源互聯網、智能電網、物聯網、互聯網、生物醫學、無線通信和無線傳感等領域,納米發電機都將有更廣泛應用。
納米發電機是一種利用機械運動產生電能的裝置,它可以在微小尺度上實現自供電和無線傳輸。為了測試納米發電機的性能和特點,需要采用精密的測量儀器和方法。Keithley的測試儀器可以提供高分辨率、高靈敏度、高準確度和高速率的電壓、電流、電阻、功率和能量等參數的測量和控制。如下分享幾個測試場景。
測試場景一
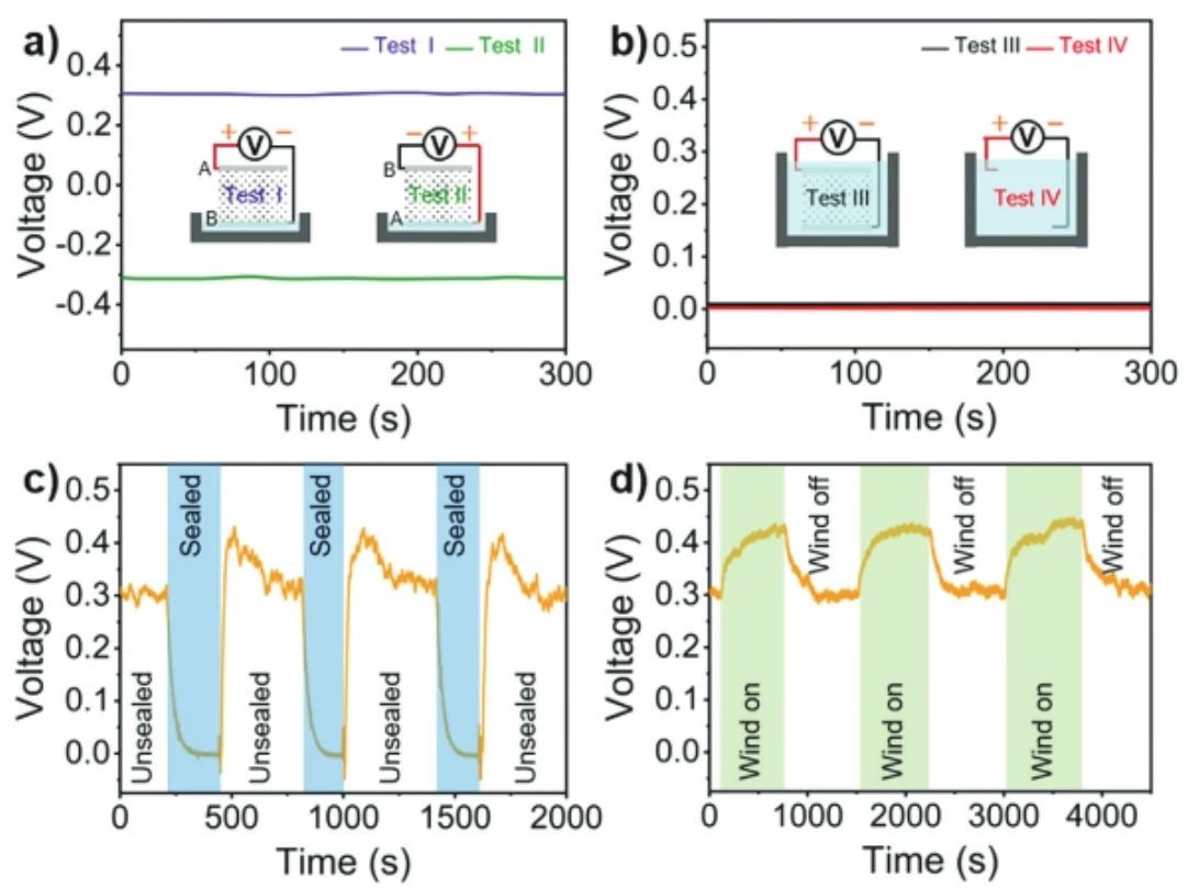
基于多孔Al2O3陶瓷片的液固三摩擦納米發電機(LS-TENG)來收集水蒸發引起的電力。


測試場景二
基于摩擦納米發電機 (TENG) 技術的語音和手勢信號翻譯器 (VGST),將自然人類動作轉化為電信號,實現人機交互。

這里使用Keithley的6514對VGST(語音和手勢信號翻譯器)備的手勢電壓信號,后端使用采集設備獲取相關數據。
測試場景三
基于分形原理的新型開關電容轉換器 (SCC) 設計 , 稱為分形設計開關電容轉換器 (FSCC)。

該研究使用了多種高精度的電氣測量設備 , 如靜電電壓表、電表和可編程電源等,包含了Keithley 6514和2230G,以全面評估 FSCC 電源管理系統的性能。

在納米發電機測試的場景中使用的測試儀器
■ 使用Keithley 6517B靜電計,可以測量納米發電機的表面電荷密度和極化強度,從而評估其對不同機械刺激的響應和轉換效率。
■ 使用Keithley DMM6500數字萬用表和DAQ6510 數據采集/開關系統,可以對多個納米發電機進行并行的電壓和電流的測量和記錄,并通過內置的觸摸屏或遠程控制,可以方便地設置測量條件和查看測量結果,從而實現納米發電機的大規模測試和評價。
■ 使用Keithley SMU 2450源表,可以進行開路電壓短路電流測試、測試最大功率點。

小結
在納米發電機的研究中,Keithley的靜電計、多用表和電源可以提供很多幫助。靜電計搭配可以進行高速采集的DMM6500可以準確地測量納米發電機的各種物理參數,如電壓、電流、電阻、頻率等。設備更容易與上位機連接,獲取相關數據,方便用戶分析和調試。Keithley設備的優勢在于它們的高精度、低噪聲、多功能、易用性和靈活性,可以大大提高納米發電機研究的效率和質量。
(來源:泰克科技)
免責聲明:本文為轉載文章,轉載此文目的在于傳遞更多信息,版權歸原作者所有。本文所用視頻、圖片、文字如涉及作品版權問題,請聯系小編進行處理。
推薦閱讀:



