【導讀】可能影響 PCB 信號完整性的問題列表很長,但在高速通道中特別應該診斷的一種問題是:符號間干擾。這種特定的信號完整性問題涉及比特流中信號之間的干擾,就像其名稱所示。那么,是什么導致了這種信號完整性問題?如何減少符號間干擾?
本文要點:
· 即使進行了完美的阻抗匹配,所有傳輸線也都會存在某些信號完整性問題。
· 由于損耗、色散和寄生組件而經常出現的一個問題是符號間干擾。
· 這種信號完整性問題會導致比特流中的錯誤,但謹慎的通道設計和驅動器/接收器選擇可以有效減少錯誤。
可能影響 PCB 信號完整性的問題列表很長,但在高速通道中特別應該診斷的一種問題是:符號間干擾。這種特定的信號完整性問題涉及比特流中信號之間的干擾,就像其名稱所示。那么,是什么導致了這種信號完整性問題?如何減少符號間干擾?
這個問題通常在電信環境中討論,但是在 PCB 中也會出現類似的效應。雖然我們永遠無法完全從 PCB 中消除信號完整性問題(包括符號間干擾),但可能可以將符號間干擾減少到在典型測量中不會被注意到的程度。本文將討論如何在高速通道中減少符號間干擾。
1. 什么導致符號間干擾?
符號間干擾是與數位比特流或用于信號標準(如PAM-4)的脈沖流有關的問題。所有有限帶寬信道都將顯示符號間干擾,而每個電氣通道都是到某個高頻率的有限帶寬。
此信號分析儀測量結果顯示了極端的符號間干擾
當數字信號流被接收器讀取時,其中一個信號會干擾后續的信號,這種現象被稱為符號間干擾。
電信系統,特別是無線系統
符號間干擾通常是由于信號的副本以不同的時間到達接收器所造成的多徑效應引起的。就算是對于具有互連和數位位元流的松散布線 PCB 而言,也可能存在符號間干擾問題。
數位信道
位元串流可能會出現一些問題,導致符號間干擾,包括:
· 輕微阻抗不匹配引起的反射
· 相位失真引起的拉伸脈沖(由基板中的色散引起)
· 接收器輸入處看到的慢脈沖響應(由負載電容引起)
· 極端的抖動,平均抖動時間與信號的UI相當(這種情況很少見)
符號間干擾可能聽起來有點玄乎,但在時域波形中很容易被發現。盡管它是由頻域問題(有限帶寬)引起的,但在時域中可以很容易地看到它。
2. 診斷符號間干擾
符號間干擾可以在眼圖中看到,如下圖所示。只要在 PCB 上放置測試夾具,大多數高帶寬示波器或數字信號分析儀都可以用來收集此測量數據。
眼圖顯示符號間干擾
一個完美的眼圖會有完全重迭的信號,沒有任何抖動(水平上升時間變化)或噪聲(信號電平變化)。在上面的圖像中,當我們看到波浪狀的信號行為重迭在高電平和低電平之間時,就會出現符號間干擾。抖動表現為信號上升時間的水平變化。
3. 在 PCB 板層級上如何減少符號間干擾
在上述清單中的四個要點中,只有前三個非常常見。關于第四點有關抖動的問題,由于功率穩定性的微小變化,總會存在一些抖動。然而,類似 UI 一樣巨大的抖動并不常見,除了很可能是高 PDN 阻抗之外的多個問題也導致了非常大的抖動。
如果要減少符號間干擾,需要著重于三個方面:阻抗不匹配、色散和緩慢的脈沖響應。以下表格概述了一些方法:
選擇更少色散的 PCB 層壓板和具有更小負載電容的組件等解決方案只能解決部分問題。對于高數據速率信道,最好的解決方案是確保極其精確的阻抗匹配并添加延遲時間。編程延遲到位元流中的解決方案將降低總數據速率,但也會降低誤碼率。
對于阻抗不匹配,請記住——
我們只需要關注一定范圍內匹配阻抗(通常是幾個GHz)即可。
還有兩種方式可以強制接收器完全忽略由符號間干擾引起的信號電平的干擾 UI 變化,即遵循 Nyquist ISI標準并使用均衡技術。
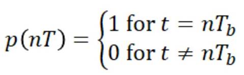
Nyquist ISI 標準
有一種特定的取樣率可以在接收器組件中使用,以便恢復的信號完全不受符號間干擾的影響。當接收器讀出具有以下特性的數字脈沖流時,就可以滿足Nyquist ISI 準則:
Nyquist ISI 標準
在這里,Tb 是數據流的位元率。這個方程式表明,當接收機恰好以比特率進行采樣時,只要比特波形在任何其他采樣時間都為0,它始終會準確鎖定到所發送的位的真實值。通過精確地塑造所傳輸的波形,可以實現這種性質,需要使用脈沖整形濾波器。
均衡
采用均衡化方案,如分布反饋均衡化,旨在通過估算算法恢復信號質量。這將理想地消除可能疊加在接收信號上的符號間干擾或其他噪聲。但是,均衡化不是只需“添加”到組件中即可。它是使用特定電路實現的,該電路內置于組件中。新一代 DDR 和 PCIe 正是在接收端使用均衡化,我們可以期待在未來其他信令標準的下一代中更加標準化。
免責聲明:本文為轉載文章,轉載此文目的在于傳遞更多信息,版權歸原作者所有。本文所用視頻、圖片、文字如涉及作品版權問題,請聯系小編進行處理。
推薦閱讀:




