【導讀】幾乎所有的電子電路都依賴于放大器,放大器電路會放大它們接收到的輸入信號。基本的放大器電路由雙極結型晶體管組成,晶體管偏置使器件在有源區運行。晶體管的有源區用于放大目的。當晶體管偏置為有源區時,施加在輸入端子上的輸入信號會使輸出電流出現波動。波動的輸出電流流過輸出電阻,產生經過放大的輸出電壓。
本文要點:
? 小信號 RF 放大器的用途。
? 用于小信號 RF 放大器的分壓器晶體管偏置電路。
? 單級小信號 RF 放大器的設計步驟。
幾乎所有的電子電路都依賴于放大器,放大器電路會放大它們接收到的輸入信號。基本的放大器電路由雙極結型晶體管組成,晶體管偏置使器件在有源區運行。晶體管的有源區用于放大目的。當晶體管偏置為有源區時,施加在輸入端子上的輸入信號會使輸出電流出現波動。波動的輸出電流流過輸出電阻,產生經過放大的輸出電壓。
有些放大器能放大微弱 RF 輸入信號且(與靜態工作點相比)輸出電流波動較小,它們稱為小信號 RF 放大器。小信號 RF 放大器的設計可以采用共基極、共發射極或共集電極配置。本文將重點介紹共基極小信號 RF 放大器設計。
單級小信號 RF 放大器
小信號 RF 放大器可以是單級放大器,也可以是多級放大器。在單級小信號 RF 放大器中,使用晶體管來放大輸入信號。向偏置設置在有源區的晶體管提供輸入信號。根據輸入信號的變化,輸出電流也隨之變化,從而得到放大后的輸出電壓。小信號 RF 放大器也可稱為電壓放大器。
設計小信號 RF 放大器所需的輸入包括輸出電流、輸出電壓、直流偏置電壓和晶體管電流增益。電流增益是晶體管的內部特性,可從產品手冊中獲取。
接下來,我們來了解一下小信號 RF 放大器的晶體管偏置。
小信號 RF 放大器的分壓器晶體管偏置
小信號 RF 放大器的設計從晶體管偏置電路開始。讓我們以一個具有高電平值 NPN 晶體管的共基、小信號 RF 放大器設計為例。集電極電流和集電極輸出電阻上的電壓分別構成輸出電流和輸出電壓。用 VCC 來表示輸入偏置電壓。請注意,在本例中,我們使用分壓器晶體管偏置電路進行進一步討論,因為它是放大器中最常用的晶體管偏置電路,而且電路結構簡單,工作點穩定性較好。
當晶體管采用共基配置時,晶體管基極和集電極端的電阻 R2 和 RC 將晶體管連接到直流輸入電壓 VCC。電阻 R1 和 RE 分別將晶體管的基極和發射極接地。通過選擇合適的電阻值,可以固定晶體管放大器的工作點。分壓器晶體管偏壓使晶體管的工作點幾乎不受放大倍數(β 值)影響。因此,分壓器偏置電路也稱為與 β 值無關的偏置電路。
要設計這種晶體管,應遵循幾個關鍵步驟。
單級小信號 RF 放大器的設計步驟
設計帶分壓器晶體管偏置的小信號 RF 放大器時應遵循以下步驟:
針對給定的設計參數,即輸出電流 (IC)、輸出電壓 (VC)、直流偏置電壓 (VCC) 和晶體管電流增益,選擇晶體管的工作點。
考慮到偏置穩定性,發射極電阻 RE 上的電壓固定為 VE。
對于高 β 值晶體管,集電極 (IC) 和發射極 (IE) 電流大致相等。根據 IE 和 VE,設計電阻 RE 時使用的公式為
電阻 RC 的計算公式為
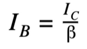
根據 IC 和 β,基極電流為
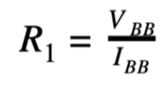
對于硅晶體管,基極和發射極上的壓降 VBE 等于 0.7 V。基極電壓 VBB 的計算公式為
從直流輸入電壓到晶體管基極的電流為 IBB。假設 IBB 值,則電阻為
根據公式 R1,可設計電阻 R2
耦合電容器 Cin 和 CC 設計為阻斷直流電流,只允許交流電流通過。
旁路電容器 CE 按照公式設計
按照上述步驟,就可以設計出一個小信號射頻放大器。在小信號 RF 放大器設計中,穩定晶體管的工作點是一個重要問題。晶體管的內部特性會隨溫度變化而變化,這會影響放大器的工作點和功能。
Cadence Celsius Thermal Solver 是業界首個面向電子工程師的熱分析技術。它為單片微波集成電路(MMIC)、集成電路封裝、射頻 PCB、模塊和微波/射頻系統提供了完整的電熱協同仿真技術。Celsius Thermal Solver 集成在 Cadence AWR Design Environment 平臺中,為元件密集的大型射頻/微波系統和高功率放大器(HPA)的設計驗證和簽核提供隨時可用的高容量電熱分析(圖 1)。
圖 1:使用 Celsiu Thermal Solver 對射頻功率器件和合路器匯流排進行分析
利用有限元分析(FEA)場求解器與先進的自適應網格劃分技術相結合,Celsius Thermal Solver可以分析復雜固體結構中的穩態熱傳導,包括帶過孔和氣橋的氮化鎵/砷化鎵(GaN/GaAs)場效應晶體管(FET)和高電子遷移率晶體管(HEMT)器件,以及帶有凸點或鍵合線的復雜封裝。強大的 3D 熱分布分析與自動化環境中的 3D 電氣仿真相結合,實現真正的電熱協同仿真,對溫度和電流之間的重要相互作用進行迭代。
免責聲明:本文為轉載文章,轉載此文目的在于傳遞更多信息,版權歸原作者所有。本文所用視頻、圖片、文字如涉及作品版權問題,請聯系小編進行處理。
推薦閱讀:
AGIC通用人工智能展與IOTE物聯網展攜手圓滿落幕,物聯網科技盛宴精彩紛呈!
貿澤、Analog Devices和Samtec推出全新電子書 匯集各路專家關于信號完整性的真知灼見





