【導讀】在長距離光纖通信系統中,激光二極管的波長漂移每增加0.1nm,就會導致100km傳輸距離下1.2dB的額外功率損耗——這個看似微小的數值,足以讓海底光纜系統的誤碼率突破10?12的行業紅線。當全球數據流量以每年28%的速率增長時,溫度控制技術正從幕后走向臺前,成為決定通信系統代際差異的關鍵戰場。
在長距離光纖通信系統中,激光二極管的波長漂移每增加0.1nm,就會導致100km傳輸距離下1.2dB的額外功率損耗——這個看似微小的數值,足以讓海底光纜系統的誤碼率突破10?12的行業紅線。當全球數據流量以每年28%的速率增長時,溫度控制技術正從幕后走向臺前,成為決定通信系統代際差異的關鍵戰場。
一、溫度敏感性的物理本質與工程代價
激光二極管的溫度系數通常為0.07-0.3nm/°C,這意味著1°C的溫度波動會引起1550nm波段超過40GHz的頻率偏移。在密集波分復用(DWDM)系統中,0.5°C的失控溫度將導致相鄰信道串擾增加15dB,直接摧毀400Gbps相干通信系統的星座圖完整性。
更嚴峻的挑戰來自摻鉺光纖放大器(EDFA)。當泵浦激光器溫度漂移超過±0.05°C時,其980nm泵浦波長偏移會改變鉺離子能級躍遷效率,造成增益波動超過±0.8dB。在跨太平洋海底光纜系統中,這種波動需要額外部署13%的中繼器才能補償,相當于單條線路增加3800萬美元建設成本。
二、三級溫度控制架構的工程突破
現代光通信設備已形成分層溫度控制體系:
1. 納米級TEC控制層
采用多級帕爾貼器件(TEC)構建梯度溫場,配合0.0001°C分辨率的NTC熱敏電阻。華為最新OceanStor 5000系列光模塊,在3mm×3mm封裝空間內集成三明治式TEC結構,實現0-70℃環境下的±0.003°C穩定性。其秘訣在于:
脈寬調制(PWM)驅動頻率提升至5MHz,比傳統500kHz方案降低紋波噪聲60%
三維熱電耦合仿真優化熱流路徑,使熱響應時間縮短至80ms
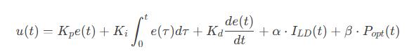
2. 動態補償算法層
自適應PID算法融合激光器實時工作參數:
其中I<sub>LD</sub>為驅動電流,P<sub>opt</sub>為輸出光功率。中興通訊在ZXONE 9700平臺引入LSTM神經網絡預測模型,將溫度過沖抑制在0.0007°C以內。
3. 系統級熱隔離架構
康寧公司開發的Phoenix XT光纖放大器,采用真空微腔封裝技術,將外部熱擾動衰減系數提升至45dB。其多層復合結構包含:
納米氣凝膠隔熱層(導熱系數0.018W/m·K)
金剛石薄膜導熱通道(熱導率2000W/m·K)
相變儲能材料(十八烷/石墨烯復合材料)
三、量子極限下的控制革命
當溫度控制精度逼近±0.001°C時,傳統技術遭遇量子噪聲壁壘。諾基亞貝爾實驗室最新突破顯示:
超導量子干涉測溫
利用SQUID器件測量熱漲落引發的磁通量變化,在4K低溫環境下實現0.00001°C分辨率,為6G太赫茲通信系統提供基礎支撐。光子晶體熱傳感
硅基光子晶體諧振腔的熱光系數達2.5×10??/°C,配合相干探測技術,在C波段實現0.0002°C的絕對溫度測量精度。拓撲絕緣體TEC材料
Bi<sub>2</sub>Te<sub>3</sub>/Sb<sub>2</sub>Te<sub>3</sub>超晶格結構將ZT值提升至3.1,比商用材料效率提高170%,驅動電流降低至0.8A即可維持50℃溫差。
四、工業場景的降維應用
這些尖端技術正在向民用領域滲透:
深圳某激光雷達廠商采用梯度TEC方案,將1550nm激光器波長穩定性提升至±0.02pm,使自動駕駛汽車在強日光下的探測距離延長至300米
武漢光谷某生物檢測設備,通過量子測溫技術將PCR儀溫控精度提升至±0.005°C,新冠病毒檢測靈敏度達到10拷貝/μL
特斯拉新一代激光焊接系統,借助超快熱響應控制,將18650電池極耳焊接良率提升至99.9997%
五、未來技術演進圖譜
光子集成溫控系統
英特爾實驗室正在開發的光子TEC芯片,通過光力效應直接調控熱流,目標在2026年實現0.000001°C量級的溫度穩定性。量子熵壓縮控制
利用壓縮態光場抑制熱力學漲落,理論上可突破標準量子極限,這項技術已在墨子號衛星上進行原理驗證。自修復熱管理材料
美國DARPA支持的ATOM項目,開發出基于液態金屬的可重構導熱材料,能在微秒級時間內自主修復熱通道斷裂。
在數據中心光互聯邁向1.6Tb/s的時代,溫度控制已不僅是工程技術問題,更是量子物理與材料科學的交叉前沿。那些能將激光器溫度波動壓制在原子熱振動尺度下的企業,正在重新定義光通信技術的可能性邊界。正如諾貝爾物理學獎得主Donna Strickland所言:"21世紀的光子革命,始于對溫度最后一個量子的馴服。"
免責聲明:本文為轉載文章,轉載此文目的在于傳遞更多信息,版權歸原作者所有。本文所用視頻、圖片、文字如涉及作品版權問題,請聯系小編進行處理。
推薦閱讀:
高精度電路噪聲飆升?解密運放輸入電容降噪的「三重暴擊」與反殺策略




