【導讀】反饋,就是把放大電路的輸出量的一部分或全部,通過反饋網絡以一定的方式又引回到放大電路的輸入回路中去,以影響電路的輸入信號作用的過程。
一、反饋的基本概念
1.1 什么是反饋?

反饋,就是把放大電路的輸出量的一部分或全部,通過反饋網絡以一定的方式又引回到放大電路的輸入回路中去,以影響電路的輸入信號作用的過程。
1.2 放大電路中引入反饋的作用
放大電路靜態工作點會隨溫度的變化而上下波動,其放大倍數不穩定,為了穩定放大電路的靜態工作點,可采用分壓式工作點穩定電路,在電路中引入一個直流電流負反饋。
為了提高輸入電阻,降低輸出電阻,可采用射極輸出器,在射極輸出器電路中引入電壓串聯負反饋。
二、反饋的分類、判斷
2.1 反饋的分類
(1)正反饋與負反饋
根據反饋的極性分類,可分為正反饋和負反饋。使放大電路凈輸入量增大的反饋稱為正反饋,使放大電路凈輸入量減小的反饋稱為負反饋。正反饋雖然能夠提高放大倍數,但會使電路工作變得不穩定。實際工作中正反饋常用于產生正弦波振蕩。負反饋雖然降低了放大電路的放大倍數,但是能夠改善放大電路的各項性能。
(2)直流反饋與交流反饋
根據反饋的交直流性質,可分為直流反饋和交流反饋。如果反饋信號中只含直流成分,則稱為直流反饋,直流負反饋用于穩定靜態工作點,對放大電路的動態性能沒有影響。如果反饋信號中只含交流成分,則稱為交流反饋。交流負反饋用于改善放大電路的各項動態性能。
(3)電壓反饋與電流反饋
根據反饋的極性,可分為正反饋和負反饋。使放大電路凈輸入量增大的反饋稱為正反饋,使放大電路凈輸入量減小的反饋稱為負反饋。正反饋雖然能夠提高放大倍數,但會使電路工作變得不穩定。實際工作中正反饋常用于產生正弦波振蕩。負反饋雖然降低了放大電路的放大倍數,但是能夠改善放大電路的各項性能。
(4)串聯反饋與并聯反饋
根據反饋信號與輸入信號的關系,可分為串聯反饋和并聯反饋。反饋信號與輸入信號在放大電路的輸入回路中以電壓的形式求和,即反饋信號與輸入信號串聯,稱為串聯反饋。反饋信號與輸入信號在放大電路的輸入回路中以電流的形式求和,即反饋信號與輸入信號并聯,稱為并聯反饋。
2.2 反饋的判斷
(1)有無反饋的判斷
通過檢查在放大電路的輸出回路與輸入回路之間是否存在相互聯系的反饋通路來判斷電路中有沒有引入反饋。
如下圖,從左到右分別是圖(a)、圖(b)、圖(c)。

圖 (a) 、(c)沒有引入反饋 圖(b) 引入了反饋。
(2)正反饋與負反饋的判斷
采用瞬時極性法判斷,如果反饋信號與原輸入信號極性相同,則是正反饋;如果反饋信號與原輸入信號極性相反,則是負反饋。如下圖,從左到右分別是圖(a)、圖(b)。

圖 (a) 負反饋 圖(b) 正反饋
如下圖,從左到右分別是圖(c)、圖(d)。

圖 (c) 負反饋 圖(d) 負反饋
(3)直流反饋與交流負反饋的判斷
通過反饋是存在于直流通路中還是交流通路中,來判斷電路引入的是直流反饋還是交流反饋。
(4)電壓反饋與電流反饋的判斷
反饋信號與輸出電壓成正比為電壓反饋,反饋信號與輸出電流成正比為電流反饋。將輸出端短路,若反饋不存在,則為電壓反饋。

(5)串聯反饋與并聯負反饋的判斷
反饋信號與輸入信號以電壓的形式相加,即反饋信號與輸入信號串聯,即是串聯反饋;如果反饋信號與輸入信號在放大電路輸入回路中以電流的形式相加,即反饋信號與輸入信號并聯,則是并聯反饋。

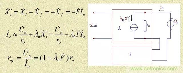
三、負反饋放大器的框圖及一般表達式
3.1 負反饋放大器的框圖

3.2 負反饋放大器的一般表達式

四、負反饋對放大器性能的影響
4.1 負反饋對放大倍數的影響
引入負反饋后,放大倍數的穩定性得到了提高。

4.2 負反饋對通頻帶和失真的影響
(1) 展寬通頻帶



(2)減少非線性失真

4.3 負反饋對噪聲的影響


4.4 負反饋對輸入輸出電阻的影響
(1)負反饋對輸入電阻的影響
a.串聯負反饋使輸入電阻增大

b.并聯負反饋使輸入電阻減少

(2)負反饋對輸出電阻的影響
a.電壓負反饋使輸出電阻減少

b.電流負反饋使輸出電阻增大

五、負反饋放大器的四種組態
電壓串聯負反饋

電壓并聯負反饋

電流串聯負反饋

電流并聯負反饋

例1:試判斷下圖各電路中反饋的極性和組態。


例2:在左圖所示放大電路中,引入適當的負反饋,要求達到以下目的:降低放大電路的輸出電阻,提高帶負載能力;提高放大電路的輸入電阻,減少對信號源索取的電流;減小輸出電壓的非線性失真,改善輸出波形。

六、深度負反饋對放大電路的近似計算


例3:計算圖中各放大電路的電壓放大倍數。




七、負反饋放大器自激振蕩及消除方法
7.1 產生自激振蕩的原因及條件
(1)自激振蕩產生的原因

此時即使沒有輸入信號,放大電路仍將有一定的輸出信號,說明放大電路產生了自激振蕩。
(2)自激振蕩產生的條件

如圖所示為阻容耦合單級共射放大器的頻率特性,中頻相移180度,在低頻段和高頻段,還將分別產生附加相移90度,三級負反饋放大電路則只要達到一定的反饋深度即可能產生自激振蕩。

7.2 消除自激振蕩的方法
(1)滯后補償
a.簡單的滯后補償


b.RC滯后補償



(2)超前補償


推薦閱讀:



