【導讀】電源或共模電壓在產生變化時極易產生失調偏移,對于儀表放大器,電子工程師在計算這種失調偏移時會困惑不解,工程師為何困惑不解?困惑的根本原因又是什么呢?本文就來為你揭曉謎底。
放大器的電源抑制比 (PSRR) 隨放大器增益配置的升高而增加。這樣很容易讓人想到,在高增益下產生任何輸出偏移,都需要電源的明顯變化!

圖 1:儀表放大器的典型電源抑制比曲線
但一定要記住:共模抑制比 (CMRR) 和 PSRR 都是輸入參考參數:
PSRR 和 CMRR 定義為輸入失調電壓變化 ΔVOS(IN) 與電源電壓變化 ΔVS 或共模電壓變化 ΔVCM 的比值。
為了了解增益對這些參數的影響,請將大多數儀表放大器看成兩個串行的放大器級,一個輸入級放大器(如圖 2 中 G1 所示)和一個輸出級放大器(如 G2 所示)。電源或共模電壓的變化會造成每個放大器級失調電壓的變化,如圖中 ΔVOS1 和 ΔVOS2 所示。

圖 2:大多數儀表放大器的概念圖
在需要計算輸入時,用輸入級增益 G1 除第二個失調電壓變化 ΔVOS2。最后,由于兩個失調變化的極性未知,可能為正也可能為負,因此可推導出公式 2:
在儀表放大器產品說明書中可找到該公式,從而可計算出由溫度、電源和共模電壓等不同因素所引起的輸入失調變化值:

圖 3:內容摘自產品說明書,說明不同因素所導致的輸入失調變化。
將公式 2 代入公式 1,就很容易得出增益如何影響儀表放大器的 PSRR 和 CMRR:
從輸入級增益除以第二個放大器失調電壓的變化值 ΔVOS2 可以得出,這兩個參數會隨增益的提高而增大。
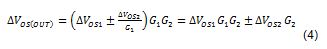
到目前為止,我們一直關注的只是輸入失調的變化,但輸出端會怎樣呢?畢竟我們通常真正關心的是放大器輸出。很明顯,我們可用 ΔVOS(IN) 乘以放大器總體增益來計算 ΔVOS(OUT)。

很多儀表放大器的輸出級增益都為 1,這就意味著放大器總體增益由輸入級增益決定。這樣我們就可將公式 4 簡化為:

由于輸入級現已成為主要誤差源,因此儀表放大器的 CMRR 和 PSRR 參數可在較高增益下得到改善。但是,還有一個我們尚未討論的影響。細心的讀者在觀察圖 3 時可能已經注意到了:輸出級失調比輸入級差。
[page]
前面討論了為什么儀表放大器電源抑制比 (PSRR) 及共模抑制比 (CMRR) 會隨放大器增益的提高而改善。
回到儀表放大器的簡化模型(如圖 4 所示)中,我們可以再次回想起 PSRR 與 CMRR 都是輸入參考參數。

圖 4:儀表放大器的概念模型
在更高的增益下,當需要計算輸入時,可用輸入級增益除以第二級失調的變化:
這里就是二級放大器概念模型不完備的地方。例如:如果兩個二級放大器的失調變化相同,而且極性也相同時會怎樣呢?也就是說:

對比增益為 1000 及增益為 1 的放大器在 PSRR 方面的改善情況:

如果輸入參考失調變化減少一半,PSRR 就可提高 6dB。但是在將增益從 1 提升至 1000 時,典型儀表放大器的 PSRR 可能會提高達 30dB。顯然,ΔVOS1 必須遠遠小于 ΔVOS2 才能實現這種水平的改善。
我們通過仔細觀察圖 2 中三運算放大器儀表放大器的內部結構便可明白如何實現這種可能性。由放大器 A3 和電阻器 R3、R4、R5 以及 R6 組成的輸出級可作為差分放大器配置。如果電阻器 R3、R4、R5 和 R6 符合以下比例:

那么輸出級就將只放大輸入級的差分電壓,抑制兩個輸入端的共模。

圖 5:三運算放大器儀表放大器的標準拓撲
放大器的輸入級包含兩個放大器:A1 和 A2。電源電壓或共模電壓的變化會帶來這兩個放大器輸入失調的相應變化,在圖 6 中分別使用 ΔVOS1A 和 ΔVOS1B 表示。
圖 6:儀表放大器的輸入級放大器及其各自的失調情況
讓我們來看看這種情況,A1 和 A2 的非反相輸入接地,并將輸入級增益配置為 1。現在,假設電源電壓的變化會導致 A1 和 A2 的輸入失調電壓發生變化。那么,接地的每個放大器輸出都將在失調電壓中反映出這種變化。輸入級的輸出共模電壓將為:
而輸出差分電壓則將為:

前面已提到過輸出級差分放大器抑制共模電壓,只有差分電壓可傳輸至輸出端。因此,輸入級的輸入參考失調變化 (ΔVOS1) 實際上由 ΔVOS1A 與 ΔVOS1B 之差決定,而非其絕對量級!
通過對 IC 進行精心設計與布局,這兩種失調就可獲得良好的匹配,從而可將輸入級失調變化平均降至輸出級的大約十分之一。
儀表放大器的 CMRR 與 PSRR 參數不會如魔法般地隨增益提高而改善,事實上它是多級拓撲與差分放大器輸出級的結果。
輸入放大器的精確匹配與輸出級電阻器的正確布局有助于現代 IC 儀表放大器為電子工程師提供我們已習以為常的巨大抑制功能。
相關閱讀:
三運放組成的儀表放大器原理分析
選型大全:模擬世界必知的放大器知識
網友分享:微波功率放大器的ALC環路設計